En los siguientes ejercicios resueltos, exploraremos cómo aplicar el principio de conservación de la energía para analizar diversos problemas y situaciones físicas. Estos ejercicios nos permiten entender cómo la energía se conserva a lo largo de diferentes procesos y transformaciones.
A través de la resolución de estos problemas, podremos profundizar en la comprensión de conceptos clave como la energía cinética, la energía potencial, el trabajo realizado por fuerzas conservativas y no conservativas, así como también la aplicación de la ley de la conservación de la energía.
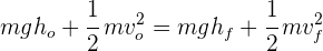
Una bola de demolición de 50 kg se impulsa lateralmente hasta que queda 1.4 m por arriba de su posición más baja. Si se desprecia la fricción, encuentra su velocidad cuando regrese a su punto más bajo.

1Por la conservación de la energía, la energía total en los puntos inicial y final es la misma

2En el punto inicial, la velocidad es cero y la altura es 1.4 m. En el punto final, la altura es cero y no conocemos la velocidad. Sustituimos los datos en la ecuación anterior

3Despejamos la velocidad final y se obtiene

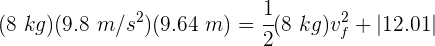
Un objeto de 10 kg se suelta desde una altura de 15 m. Encuentra la energía potencial, cinética y total en a) el punto más alto; b) en el suelo.
1Calculamos la energía potencial en el punto más alto, para lo cual altura es 15 m y la masa 10 kg

2En el punto inicial, la velocidad es cero, por lo que la energía cinética es

3La energía total es igual a la suma de la energía potencial y la cinética

4Para el caso en que el objeto se encuentra en el suelo, la altura es cero, por lo que la energía potencial también es cero. Por la ley de la conservación de la energía, la energía total en el suelo es 1470 J. Como la energía potencial es cero, se sigue que la energía cinética es 1470 J
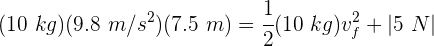
Una pesa de 5 kg se deja caer desde una altura de 10 m. Encuentra la energía potencial y cinética cuando la pesa ha caído a un punto ubicado a 3 m del suelo.
1Calculamos la energía potencial en el punto más alto, para lo cual altura es 10 m y la masa 5 kg

2En el punto inicial, la velocidad es cero, por lo que la energía cinética es cero. Luego la energía total es de E=U+K=490 J
3Calculamos la energía potencial para una altura de 3m

4Por la ley de la conservación de la energía, la energía total a una altura de 3 m es E=490 J. Luego la energía cinética es

Encuentra la velocidad inicial que debe impartirse a un objeto de masa 3 kg para elevarla una altura de 8 m.
1Por la conservación de la energía, la energía total en los puntos inicial y final es la misma

2En el punto final, la velocidad es cero y la altura es 8 m. En el punto inicial, la altura es cero y no conocemos la velocidad. Sustituimos los datos en la ecuación anterior

3Despejamos la velocidad inicial y se obtiene

Una bicicleta de 10 kg se encuentra en la parte alta de una rampa de 12 m de altura. Si la bicicleta tiene una velocidad inicial de 5 m/s en su descenso y despreciamos la fricción, encuentra su velocidad en el punto más bajo de la rampa.
1Por la conservación de la energía, la energía total en los puntos inicial y final es la misma

2En el punto final, la masa es 10 kg, la altura es cero y no conocemos la velocidad. En el punto inicial, la altura es 12 m y la velocidad es 5 m/s. Sustituimos los datos en la ecuación anterior

3Despejamos la velocidad final y se obtiene

Un bloque de 8 kg descansa sobre un plano inclinado de 15 m de longitud y
de inclinación. Si
, encuentra la velocidad al pie del plano inclinado.
1 Dibujamos el diagrama de equilibrio

2Escribimos la ecuación de la conservación de la energía en términos generales

3Como
y
, la ecuación de la conservación de la energía en términos generales se reduce a

4Calculamos la altura inicial

5Calculamos la fuerza normal. Del diagrama de cuerpo libre se tiene


6Calculamos la fuerza de fricción

7 Sustituimos en la ecuación de conservación de la energía

8Despejando la velocidad final, se obtiene

Un trineo de 50 kg descansa sobre un plano inclinado de 150 m de longitud y
de inclinación. Si
, encuentra la energía total en el punto más alto y el trabajo realizado por la fricción.
1 Dibujamos el diagrama de equilibrio

2Escribimos la ecuación de la energía total

3Como
, la ecuación de la energía se reduce a

4Calculamos la altura inicial

5 sustituimos en la ecuación de la energía

6El trabajo realizado por la fricción es

Un bloque de 10 kg descansa sobre un plano inclinado de 15 m de longitud y
de inclinación. Si
, encuentra la velocidad al pie del plano inclinado.
1 Dibujamos el diagrama de equilibrio

2Escribimos la ecuación de la conservación de la energía en términos generales

3Como
y
, la ecuación de la conservación de la energía en términos generales se reduce a

4Calculamos la altura inicial

5 Sustituimos en la ecuación de conservación de la energía

6Despejando la velocidad final, se obtiene

A un carro de 67 kg se le imparte una velocidad inicial de 10 m/s en la cumbre de una pendiente de
de inclinación. Si
, encuentra la distancia que habrá recorrido el carro cuando su velocidad alcance 30 m/s.
1 Dibujamos el diagrama de equilibrio

2Escribimos la ecuación de la conservación de la energía en términos generales

3 Sustituimos en la ecuación de conservación de la energía

4Despejando las alturas, se obtiene

5Calculamos la distancia recorrida

A un carro de 67 kg se encuentra en la cima de una pendiente de
de inclinación. Si
y su velocidad alcanza los 27 m/s después de recorrer 37 m, encuentra la velocidad inicial que se imprimió en el carro.
1 Dibujamos el diagrama de equilibrio

2Escribimos la ecuación de la conservación de la energía en términos generales

3Calculamos la altura inicial

4 Sustituimos en la ecuación de conservación de la energía

4Despejando la velocidad inicial, se obtiene

Resumir con IA:

Muy importante saber las fórmulas y rl conceptos de cada teoría ya que de ellos depende hacer bien las fórmulas
Hola, no entiendo el problema 10 de Problemas resueltos de diagramas espacio-tiempo, me lo podrían explicar mas detalladamente por favor.
Hola si te refieres a la parte de calcular la velocidad de la fórmula [latex]\Delta x’=\frac\Delta x-v\Delta t\sqrtq-\fracv^2c^2[/latex] tendrías que sustituir los datos y te quedaria una ecuación de segundo grado y resolverla con fórmula general.
Como en el ejercicio 6 y 7 resuelve el sistema t1 t2
Hola, el sistema se puede resolver con el método de sustitución, se despeja t1 de la primera ecuación y el resultado se sustituye en la segunda ecuación y como solo queda como variable t2 esta se despeja y después el resultado se sustituye para calcular t1.
La fuerza normal como esta perpendicular a la superfeficie pertenece al eje Y, entonce no seria cos en ves del seno? es el ejercicio 4 qu elo saca con el seno y deberia ser con el coseno o no se si me equivoco
v¹= 1500 m/sy v²=4500 m/s?
Hola esa pregunta que haces es muy importante pues causa mucha confusión, en realidad debe usarse el seno en vez del coseno ya que el ángulo agudo se forma después de los 180 grados y construyendo un triangulo rectángulo el cateto opuesto queda en el eje y lo que implicaría usar la función seno.
Problema no.9 grados 40 en procedimiento 50??
Hola no sé qué artículo te refieres pues revise y no encontre el ejercicio 9 con los datos mencionados.