Qué es el trabajo
En mecánica clásica, el trabajo es la energía que se transfiere de (o hacia) un objeto mediante la aplicación de una fuerza a lo largo de un desplazamiento. El trabajo se categoriza en dos tipos: tenemos trabajo positivo cuando la fuerza aplicada tiene una componente en la dirección del desplazamiento. De manera conversa, tenemos trabajo negativo cuando la fuerza ejercida tiene una componente en la dirección opuesta al desplazamiento.

Un ejemplo de estos tipos de trabajo se pueden observar en el béisbol. Cuando un pitcher (el lanzador) lanza la bola hacia el bateador. El pitcher hace un trabajo positivo en la bola al aplicarle una fuerza mientras se encuentra en su mano. Cuando la deja ir, este deja de realizar trabajo. Cuando el bateador se prepara para batear, comienza a mover el bate, por lo que se le realiza trabajo positivo. Por un pequeño momento, cuando la bola tiene contacto con el bate, el bate realiza trabajo en la bola mientras se encuentra en contacto con ella mientras la desplaza.
Notación y unidades
Fuerza constante
El trabajo es comunmente denotado por la letra
(del inglés work). Este se mide en Joules (J), nombrado tras el físico James Prescott Joule.
El trabajo
realizado por una fuerza constante
que desplaza algo por
en una línea recta se calcula mediante el producto punto:

Fuerza variable
Cuando la fuerza
no es constante, entonces debemos considerar el trabajo que se hace en cada instante de tiempo. Es decir, el trabajo realizado a través de una curva
con una velocidad
en cada instancia de tiempo
se calcula como

Integrando sobre la curva resulta en el trabajo total realizado:

donde
son los tiempos de posición inicial y final, respectivamente.
Dimensiones
En el articulo hablando de fuerza, observamos que se mide en Newtons. Específicamente, la dimensiones de la fuerza son

por lo que las dimensiones del trabajo son

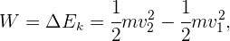
Principio de trabajo-energía
El principio de trabajo-energía cinética nos dice que el trabajo realizado por todas las fuerzas hacia un objeto es igual al cambio en la energía cinética del objeto. En forma de ecuación, tenemos

donde
denota la energía cinética,
las velocidades del objeto antes y después del trabajo ejercido, y
la masa.
Resumir con IA:









Muy importante saber las fórmulas y rl conceptos de cada teoría ya que de ellos depende hacer bien las fórmulas
Hola, no entiendo el problema 10 de Problemas resueltos de diagramas espacio-tiempo, me lo podrían explicar mas detalladamente por favor.
Hola si te refieres a la parte de calcular la velocidad de la fórmula [latex]\Delta x’=\frac\Delta x-v\Delta t\sqrtq-\fracv^2c^2[/latex] tendrías que sustituir los datos y te quedaria una ecuación de segundo grado y resolverla con fórmula general.
Como en el ejercicio 6 y 7 resuelve el sistema t1 t2
Hola, el sistema se puede resolver con el método de sustitución, se despeja t1 de la primera ecuación y el resultado se sustituye en la segunda ecuación y como solo queda como variable t2 esta se despeja y después el resultado se sustituye para calcular t1.
La fuerza normal como esta perpendicular a la superfeficie pertenece al eje Y, entonce no seria cos en ves del seno? es el ejercicio 4 qu elo saca con el seno y deberia ser con el coseno o no se si me equivoco
v¹= 1500 m/sy v²=4500 m/s?
Hola esa pregunta que haces es muy importante pues causa mucha confusión, en realidad debe usarse el seno en vez del coseno ya que el ángulo agudo se forma después de los 180 grados y construyendo un triangulo rectángulo el cateto opuesto queda en el eje y lo que implicaría usar la función seno.
Problema no.9 grados 40 en procedimiento 50??
Hola no sé qué artículo te refieres pues revise y no encontre el ejercicio 9 con los datos mencionados.