Una ecuación exponencial es aquella ecuación en la que la incógnita aparece en el exponente.
Para resolver una ecuación exponencial vamos a tener en cuenta:
Las propiedades de las potencias










- si
entonces
Resolución de ecuaciones exponenciales
Caso 1:Ambos miembros pueden expresarse en la misma base
Realizar las operaciones necesarias para que en los miembros tengamos la misma base, de modo que podemos igualar los exponentes.
Ejemplos
1 
Reescribimos el lado derecho como
y descomponemos el número 

Como
, entonces:


Igualamos las potencias

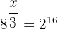
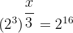
2 
Trasformamos las raíces en potencias de exponente fraccionario e igualamos los exponentes


Resolvemos la ecuación resultante:

3 
Extraemos factor común 

Aplicamos la ley de potencia negativa y resolvemos las operaciones y despejamos 



Reescribimos la ecuación con la misma base e igualamos los exponentes


Caso 2: La suma de los términos de una progresión geométrica
Si tenemos la suma de los
términos de una progresión geométrica, aplicamos la fórmula:

Ejemplo
Aplicando la fórmula de la suma de los términos de una progresión geométrica:
Despejamos
y expresamos ambos miembros con la misma base
Caso 3: Cambio de variable
Cuando tenemos una ecuación más compleja podemos recurrir a un cambio de variable.
Ejemplos
1 
En primer lugar aplicamos las propiedad del producto de potencias para quitar la suma del exponente.

Aplicamos la propiedad de potencia de otra potencia

Realizamos el cambio de variable 

Factorizando la ecuación y resolviendo


Deshacemos el cambio de variable


2 
Aplicamos las propiedades de las potencias del producto o el cociente, para quitar las sumas o restas de los exponentes

Hacemos el cambio de variable 

Multiplicamos ambos miembros por 

Factorizamos y resolvemos la ecuación


Deshacemos el cambio de variable


De la segunda ecuación no se obtiene solución
3 
Descomponemos en factores
y 

Realizamos el cambio de variable



Deshacemos el cambio de variable solo con la solución positiva.

Como no podemos igualar exponentes tomamos logaritmos en los dos miembros y en el primer miembro aplicamos la propiedad:



Despejamos la 

Para la otra solución de signo negativo no tendríamos solución porque al aplicar logaritmos en el segundo miembro nos encontraríamos con el logaritmo de un número negativo, que no existe.
Caso 4: No se pueden expresar ambos miembros con la misma base
Para despejar una incógnita que está en el exponente de una potencia, se toman logaritmos cuya base es la base de la potencia.
Ejemplo
1 
Tomamos logaritmos en los dos miembros

Aplicamos la propiedad del logaritmo de una potencia

Como 

Despejamos 

Resumir con IA:









Apuntes es una plataforma dirigida al estudio y la práctica de las matemáticas a través de la teoría y ejercicios interactivos que ponemos a vuestra disposición. Esta información está disponible para todo aquel/aquella que quiera profundizar en el aprendizaje de esta ciencia. Será un placer ayudaros en caso de que tengáis dudas frente algún problema, sin embargo, no realizamos un ejercicio que nos presentéis de 0 sin que hayáis si quiera intentado resolverlo. Ánimo, todo esfuerzo tiene su recompensa.
En la solución del ejercicio 9 de Logaritmos por definición, la incógnita es la base por lo que la solución (valor de la base) no puede ser negativa, debe ser +1/3
Una disculpa ya se corrigió.
Hola puede mandarme las propiedades de los logaritmos
Hola, ¿ qué propiedad podemos utilizar si por ejemplo existe un logaritmo a la 4ta potencia de ( X-1)
Hola se usa la propiedad de logx^n=n*logx, entonces log(X-1)^4=4*log(X-1).
Hola se usa la propiedad de log x^n=n*logx, entonces log(X-1)^4=4*log(X-1).
Por favor corrija la propiedad 7
Hola podrías mencionar cual es el error de la propiedad 7 o es un ejercicio?
Me imagino que se refiere a que no está al símbolo mayor. Está es el símbolo ¿, comparando X y 0.
Hola tienes razón en tu observación, pero estamos en reestructuración de nuestra plataforma y ese es un error que no se podía corregir, por ten paciencia para hacer el cambio a la nueva versión y ese error desaparecera.