Bienvenidos a esta serie de ejercicios dedicados al fascinante mundo de los logaritmos. Los logaritmos son una herramienta matemática poderosa que nos permite resolver una amplia variedad de problemas en campos como la ciencia, la ingeniería y la matemática misma. A través de estos ejercicios, exploraremos los conceptos fundamentales de los logaritmos, su relación con las operaciones exponenciales y su aplicación en situaciones del mundo real.
Desde los desafíos más básicos hasta problemas más complejos, esta colección de ejercicios te guiará gradualmente a través de los conceptos esenciales. Aprenderemos a simplificar expresiones logarítmicas, a resolver ecuaciones logarítmicas, a comprender propiedades clave como el cambio de base y el producto de logaritmos, y a emplear los logaritmos para abordar problemas prácticos en diversas disciplinas.
Encuentra el valor de
para 
Selecciona una respuesta.
1 Aplicamos la definición de logaritmo
2 Sustituimos 
3 Así, el valor de
es 
.Selecciona una respuesta.
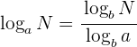
1 A partir de las propiedades de logaritmo se tiene
.Selecciona una respuesta.
1 A partir de las propiedades de logaritmo se tiene

en términos de
.Selecciona una respuesta.
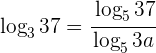
1 Para escribir
en término de
empleamos
2 Aplicamos la fórmula anterior

en términos de 
Selecciona una respuesta.
1 Para escribir
en término de
empleamos
2 Aplicamos la fórmula anterior

en términos de 
Selecciona una respuesta.
1 Para escribir
en término de
empleamos

2 Aplicamos la fórmula anterior

.Selecciona una respuesta.
1 Aplicamos las propiedades de logaritmos
2 Simplificamos
3 Así, tenemos que


Selecciona una respuesta.
1 Aplicamos las propiedades de logaritmos
2 Simplificamos
3 Así, tenemos que

Escribe como un solo logaritmo 
Selecciona una respuesta.
1 Aplicamos las propiedades de logaritmos
2 Simplificamos
3 Así, tenemos que


Selecciona una respuesta.
1 Aplicamos las propiedades de logaritmos

2 Simplificamos

3 Así, tenemos que

Si tienes dudas puedes consultar la teoría
Resumir con IA:

Apuntes es una plataforma dirigida al estudio y la práctica de las matemáticas a través de la teoría y ejercicios interactivos que ponemos a vuestra disposición. Esta información está disponible para todo aquel/aquella que quiera profundizar en el aprendizaje de esta ciencia. Será un placer ayudaros en caso de que tengáis dudas frente algún problema, sin embargo, no realizamos un ejercicio que nos presentéis de 0 sin que hayáis si quiera intentado resolverlo. Ánimo, todo esfuerzo tiene su recompensa.
En la solución del ejercicio 9 de Logaritmos por definición, la incógnita es la base por lo que la solución (valor de la base) no puede ser negativa, debe ser +1/3
Una disculpa ya se corrigió.
Hola puede mandarme las propiedades de los logaritmos
Hola, ¿ qué propiedad podemos utilizar si por ejemplo existe un logaritmo a la 4ta potencia de ( X-1)
Hola se usa la propiedad de logx^n=n*logx, entonces log(X-1)^4=4*log(X-1).
Hola se usa la propiedad de log x^n=n*logx, entonces log(X-1)^4=4*log(X-1).
Por favor corrija la propiedad 7
Hola podrías mencionar cual es el error de la propiedad 7 o es un ejercicio?
Me imagino que se refiere a que no está al símbolo mayor. Está es el símbolo ¿, comparando X y 0.
Hola tienes razón en tu observación, pero estamos en reestructuración de nuestra plataforma y ese es un error que no se podía corregir, por ten paciencia para hacer el cambio a la nueva versión y ese error desaparecera.