En lo siguiente listaremos varias propiedades sobre logaritmos. Muchas de estas se siguen de la definición y de las propiedades de la exponenciación. Empezamos con la definición de logaritmo. Definimos el logaritmo de
en base
,
, como el valor
tal que
, para
y
. Formulas para el logaritmo,
1 De la definición podemos concluir que no existe el logaritmo para valores negativos de
ni el logaritmo de cero, esto es, no existe
ni
.
2 Dado que
, entonces no existe el logaritmo para valores negativos de
, es decir, no existe
.
3 Dado que
podemos concluir que
4 Dado que
podemos concluir que
5 Para
, tenemos que
6 Dado que
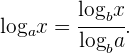
podemos concluir que
7 Dado que
podemos concluir que
8 Para
, tenemos que
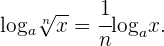
9 Para
, tenemos que
10 Si
y
, entonces
,
de esta forma podemos concluir que
.
Resumir con IA:

Apuntes es una plataforma dirigida al estudio y la práctica de las matemáticas a través de la teoría y ejercicios interactivos que ponemos a vuestra disposición. Esta información está disponible para todo aquel/aquella que quiera profundizar en el aprendizaje de esta ciencia. Será un placer ayudaros en caso de que tengáis dudas frente algún problema, sin embargo, no realizamos un ejercicio que nos presentéis de 0 sin que hayáis si quiera intentado resolverlo. Ánimo, todo esfuerzo tiene su recompensa.
En el ejercicio 10 de la segunda parte hay un error en el último dígito de la respuesta es 5 no 6
Hola te agradecemos tu observación, en cuanto a tu comentario podrías darnos más detalles, pues no encontré el error, nos ayudarías mucho.
En la solución del ejercicio 9 de Logaritmos por definición, la incógnita es la base por lo que la solución (valor de la base) no puede ser negativa, debe ser +1/3
Una disculpa ya se corrigió.
Hola puede mandarme las propiedades de los logaritmos
Hola, ¿ qué propiedad podemos utilizar si por ejemplo existe un logaritmo a la 4ta potencia de ( X-1)
Hola se usa la propiedad de logx^n=n*logx, entonces log(X-1)^4=4*log(X-1).
Hola se usa la propiedad de log x^n=n*logx, entonces log(X-1)^4=4*log(X-1).
Hola tienes razón en tu observación, pero estamos en reestructuración de nuestra plataforma y ese es un error que no se podía corregir, por ten paciencia para hacer el cambio a la nueva versión y ese error desaparecera.