Para poder resolver estos ejercicio recordemos la definición de logaritmo la cual nos dice que si
es igual al logaritmo, base
, de 
implica que
, dicho esto, procedamos a resolver los ejercicios.
Logaritmos por definición
Aplicando la definición de logaritmo, calcula el valor de y

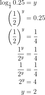
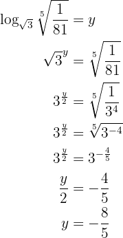
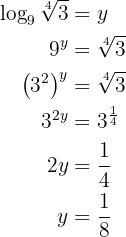
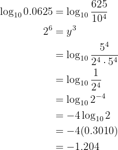
Nuestra expresión es

Aplicamos la definición de logaritmo y pasamos
a fracción, esto es
, posteriormente simplificamos


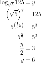
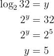
Nuestra expresión es

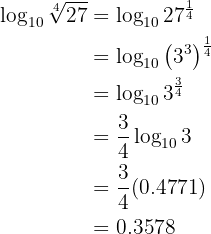
Aplicamos la definición de logaritmo


Nuestra expresión es

Notemos que al escribir
nos referimos a base
, esto es 
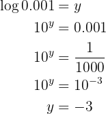
Nuestra expresión es

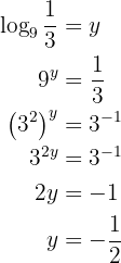
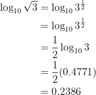
Notemos que tex]. Aplicamos la definición de logaritmo


Nuestra expresión es

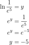
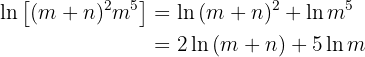
Recordemos que el logaritmo natural es simplemente el logaritmo base
, esto es,
. Aplicamos la definición de logaritmo y resolvemos


Nuestra expresión es

Aplicamos la definición de logaritmo y resolvemos


Nuestra expresión es
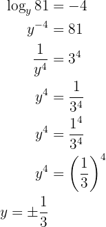
3 
Aplicamos la definición de logaritmo y resolvemos


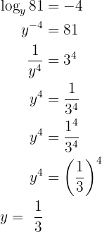
Nuestra expresión es

Aplicamos la definición de logaritmo y resolvemos


Nuestra expresión es

Aplicamos la definición de logaritmo y resolvemos


Nuestra expresión es

Aplicamos la definición de logaritmo y resolvemos. Notemos que en este caso es un poco distinto ya que la
es la base del logaritmo.


Nuestra expresión es

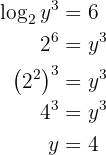
Aplicamos la definición de logaritmo y resolvemos. Notemos que en este caso es un poco distinto ya que la
se encuentra en el argumento del logaritmo

Calculo de logaritmos
En estos ejercicios aplicaremos la propiedad de cambio de base de los logaritmos, esta nos que el logaritmo, base
, de
es igual a
para otra base
, notemos que la expresión de la derecha ya está en nueva base
.
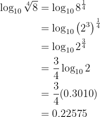
Sea
, calcula el siguiente logaritmo:

Nuestra expresión a resolver es

Procedamos convertiendo el argumento a una fracción adecuada

Sea
, calcula el siguiente logaritmo

Nuestra expresión a resolver es

Procedemos escribiendo
como una pontencia de
.

Sea
, calcula el siguiente logaritmo

Nuestra expresión a resolver es

Procedemos escribiendo
como
y posteriormente aplicamos algunas propiedades de logaritmos

Sea
, calcula el siguiente logaritmo

Nuestra expresión a resolver es

Procedemos escribiendo
como
y posteriormente aplicamos algunas propiedades de logaritmos

Sea
, calcula el siguiente logaritmo

Nuestra expresión a resolver es

Procedemos escribiendo
como una fracción en la cual haya una potencia de
y aplicamos propiedades de logaritmos

Sea
, calcula el siguiente logaritmo:

Nuestra expresión a resolver es

Procedamos convertiendo el argumento a una fracción adecuada

Sea
, calcula el siguiente logaritmo

Nuestra expresión a resolver es

Procedemos escribiendo
como una pontencia de
.

Sea
, calcula el siguiente logaritmo

Nuestra expresión a resolver es

Procedemos escribiendo
como
y posteriormente aplicamos algunas propiedades de logaritmos

Sea
, calcula el siguiente logaritmo

Nuestra expresión a resolver es

Procedemos escribiendo
como una fracción en la cual haya una potencia de
y aplicamos propiedades de logaritmos

Sea
, calcula el siguiente logaritmo

Nuestra expresión a resolver es

Procedemos escribiendo
como una pontencia de
.

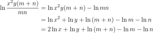
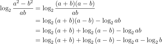
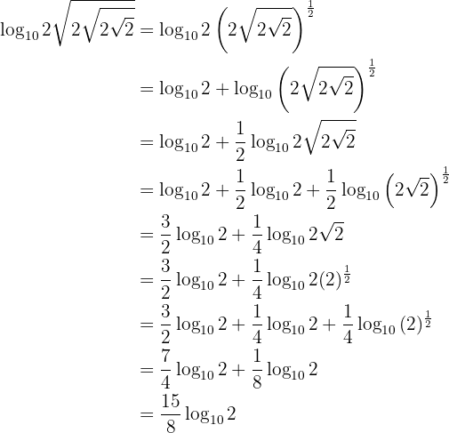
Desarrollo de logaritmos
Desarrolla las siguientes expresiones

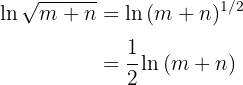
Procedamos a resolver el ejercicio


Procedamos a resolver el ejercicio


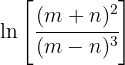
Procedamos a resolver el ejercicio


Procedamos a resolver el ejercicio


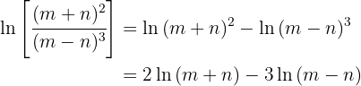
Procedamos a resolver el ejercicio


Procedamos a resolver el ejercicio


Procedamos a resolver el ejercicio


Procedamos a resolver el ejercicio


Procedamos a resolver el ejercicio


Procedamos a resolver el ejercicio

Resumir con IA:









Apuntes es una plataforma dirigida al estudio y la práctica de las matemáticas a través de la teoría y ejercicios interactivos que ponemos a vuestra disposición. Esta información está disponible para todo aquel/aquella que quiera profundizar en el aprendizaje de esta ciencia. Será un placer ayudaros en caso de que tengáis dudas frente algún problema, sin embargo, no realizamos un ejercicio que nos presentéis de 0 sin que hayáis si quiera intentado resolverlo. Ánimo, todo esfuerzo tiene su recompensa.
En la solución del ejercicio 9 de Logaritmos por definición, la incógnita es la base por lo que la solución (valor de la base) no puede ser negativa, debe ser +1/3
Una disculpa ya se corrigió.
Hola puede mandarme las propiedades de los logaritmos
Hola, ¿ qué propiedad podemos utilizar si por ejemplo existe un logaritmo a la 4ta potencia de ( X-1)
Hola se usa la propiedad de logx^n=n*logx, entonces log(X-1)^4=4*log(X-1).
Hola se usa la propiedad de log x^n=n*logx, entonces log(X-1)^4=4*log(X-1).
Por favor corrija la propiedad 7
Hola podrías mencionar cual es el error de la propiedad 7 o es un ejercicio?
Me imagino que se refiere a que no está al símbolo mayor. Está es el símbolo ¿, comparando X y 0.
Hola tienes razón en tu observación, pero estamos en reestructuración de nuestra plataforma y ese es un error que no se podía corregir, por ten paciencia para hacer el cambio a la nueva versión y ese error desaparecera.