El logaritmo de un número, en una base dada, es el exponente al cual se debe elevar la base para obtener dicho número. Es decir, expresado en notación matemática

donde
es la base,
el número,- y
el logaritmo.
Logaritmos decimales y neperianos
Logaritmos decimales
Los logaritmos decimales tienen base 10. Se representan por
.
Logaritmos neperianos
Los logaritmos neperianos tienen base
. Se representan por
o
.
Ejemplos de ejercicios utilizando logaritmos
1 
2 
3 
4 Sea
, calcula el siguiente logaritmo
:

Aplicando la definición de logaritmo:

entonces
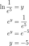
5 Calcular el valor de
en
:
Recordemos que el logaritmo natural es simplemente el logaritmo base
, esto es,
. Aplicamos la definición de logaritmo y resolvemos

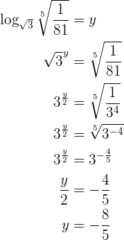
6 Calcular el valor de
en
:
Aplicamos la definición de logaritmo y resolvemos

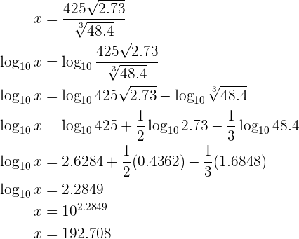
7 Obtener el valor de
utilizando logaritmos,
:
Procedamos a resolver el ejercicio utilizando propiedades de logaritmos

8 Obtener el valor de
utilizando logaritmos,
:
Nuevamente, procedemos a resolver el ejercicio utilizando las propiedades de los logaritmos:

Resumir con IA:









Apuntes es una plataforma dirigida al estudio y la práctica de las matemáticas a través de la teoría y ejercicios interactivos que ponemos a vuestra disposición. Esta información está disponible para todo aquel/aquella que quiera profundizar en el aprendizaje de esta ciencia. Será un placer ayudaros en caso de que tengáis dudas frente algún problema, sin embargo, no realizamos un ejercicio que nos presentéis de 0 sin que hayáis si quiera intentado resolverlo. Ánimo, todo esfuerzo tiene su recompensa.
En la solución del ejercicio 9 de Logaritmos por definición, la incógnita es la base por lo que la solución (valor de la base) no puede ser negativa, debe ser +1/3
Una disculpa ya se corrigió.
Hola puede mandarme las propiedades de los logaritmos
Hola, ¿ qué propiedad podemos utilizar si por ejemplo existe un logaritmo a la 4ta potencia de ( X-1)
Hola se usa la propiedad de logx^n=n*logx, entonces log(X-1)^4=4*log(X-1).
Hola se usa la propiedad de log x^n=n*logx, entonces log(X-1)^4=4*log(X-1).
Por favor corrija la propiedad 7
Hola podrías mencionar cual es el error de la propiedad 7 o es un ejercicio?
Me imagino que se refiere a que no está al símbolo mayor. Está es el símbolo ¿, comparando X y 0.
Hola tienes razón en tu observación, pero estamos en reestructuración de nuestra plataforma y ese es un error que no se podía corregir, por ten paciencia para hacer el cambio a la nueva versión y ese error desaparecera.