Ecuaciones exponenciales
Resolver las ecuaciones exponenciales siguientes

Ponemos
en forma de potencia e igualamos los exponentes



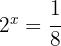
Ponemos
en forma de potencia e igualamos los exponentes




Ponemos
en forma de potencia e igualamos los exponentes




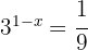
Ponemos
en forma de potencia e igualamos los exponentes





La raíz la ponemos en forma de potencia de exponente fraccionario y
se descompone en factores

Igualamos exponentes



Descomponemos en factores al
y al
, igualamos los exponentes y simplificamos la ecuación resultante



Resolvemos la ecuación



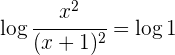
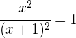
Como tenemos base distintas, tomamos logaritmos en los dos miembros

Aplicamos la propiedad del logaritmo de una potencia en el primer miembro

Pasamos
al otro miembro y resolvemos la ecuación




Pasamos
al primer miembro y el
al segundo
Tomamos logaritmos de base
en los dos miembros


En el primer miembro aplicamos la propiedad del logaritmo de una potencia

Tenemos en cuenta que:

Realizamos un cambio de base


Tomamos logaritmos en los dos miembros y aplicamos la propiedad del logaritmo de un producto en el primer miembro


Aplicamos la propiedad del logaritmo de una potencia y sacamos factor común 


Operamos en el paréntesis aplicando las propiedades del logaritmo de una potencia y de un producto

Despejamos la incógnita


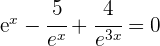
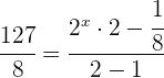
Aplicamos la propiedad de la potencia del cociente, para quitar la resta del exponente y realizamos un cambio de variable


Quitamos denominadores y resolvemos la ecuación



no tiene solución porque una potencia con base positiva no puede dar un número negativo

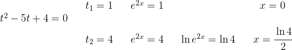
Realizamos un cambio de variable

Resolvemos la ecuación y deshacemos el cambio de variable



no tiene solución porque una potencia con base positiva no puede dar un número negativo

Quitamos exponentes negativos haciendo el inverso, quitamos denominadores y realizamos el cambio de variable



Resolvemos la ecuación y deshacemos el cambio de variable


Aplicamos la fórmula de la suma de
términos de una progresión geométrica y ponemos a común denominador


Quitamos denominadores y despejamos




Descomponemos al
en factores, aplicamos las propiedades del producto y del cociente de potencias para quitar las sumas y restas de los exponentes y realizamos un cambio de variable




Deshacemos el cambio de variable

no tiene solución porque una potencia de base positiva no puede ser negativa
Sistemas de ecuaciones exponenciales
Resolver los siguientes sistemas de ecuaciones exponenciales

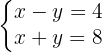
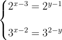
Como en la primera ecuación se tiene la misma base, igualamos los exponentes


Resolvemos el sistema



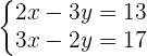
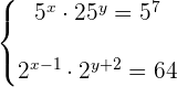
Quitamos denominadores en la primera ecuación y aplicamos el producto de potencias con la misma base en el 2º miembro


Igualamos los exponentes


Resolvemos el sistema



Igualamos los exponentes


Resolvemos el sistema



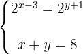
Aplicamos las propiedades del cociente de potencias para quitar las restas de los exponentes y realizamos los cambios de variable


Quitamos denominadores en la segunda ecuación y resolvemos el sistema


Deshacemos el cambio de variable


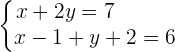
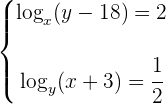
En la primera ecuación
y en la segunda ecuación aplicamos las propiedades del producto y del cociente de potencias para quitar las sumas y restas de los exponentes

En las dos ecuaciones multiplicamos las potencias con la misma base

Igualamos los exponentes y resolvemos el sistema


Ecuaciones logarítmicas
Resolver las siguientes ecuaciones logarítmicas

Aplicamos la propiedad del logaritmo de una potencia en el miembro de la derecha

Aplicamos la inyectividad de los logaritmos para quitar logaritmos


Resolvemos la ecuación

La solución es 

Aplicamos la propiedad del logaritmo de una potencia en los dos miembros y aplicamos la propiedad del logaritmo de un cociente

Operamos en el primer miembro y aplicamos la inyectividad de los logaritmos para quitar logaritmos


Resolvemos la ecuación

La solución es 

Aplicamos la propiedad del logaritmo de una potencia en los dos miembros y aplicamos la propiedad del logaritmo de un producto

Operamos en el primer miembro y aplicamos la inyectividad de los logaritmos para quitar logaritmos


Resolvemos la ecuación

La solución es 

Aplicamos la propiedad del logaritmo de una potencia y aplicamos la propiedad del logaritmo de un producto

Operamos en el primer miembro y aplicamos la inyectividad de los logaritmos para quitar logaritmos



Resolvemos la ecuación


La solución es 

Aplicamos la propiedad del logaritmo de una potencia en los dos miembros y aplicamos la propiedad del logaritmo de un producto

Operamos en el primer miembro y aplicamos la inyectividad de los logaritmos para quitar logaritmos



Resolvemos la ecuación



Ni
ni
son soluciones porque si los sustituimos en la ecuación nos encontramos con logaritmo de
y logaritmo de un número negativo y tales logaritmos no existen
La única solución es 

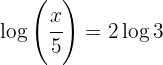
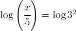
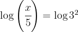
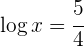
Aplicamos la propiedad del logaritmo de una potencia y en el lado derecho hacemos 

Aplicamos la propiedad del logaritmo de un cociente y la inyectividad de los logaritmos


Quitamos denominadores y resolvemos la ecuación


Pero
no es solución, si sustituimos en la ecuación obtendríamos el logaritmo de un número negativo

Quitamos denominadores y realizamos un cambio de variable


Resolvemos la ecuación


Deshacemos el cambio de variable aplicando la definición de logaritmo



Pasamos el segundo sumando al segundo miembro y aplicamos la propiedad del logaritmo de una potencia y aplicamos la inyectividad de los logaritmos


Realizamos las operaciones

Resolvemos la ecuación



Quitamos denominadores

En el segundo miembro aplicamos la propiedad del logaritmo de una potencia y la inyectividad de los logaritmos


Se realizan las operaciones y se resuelve la ecuación de segundo grado



Multiplicamos en los dos miembros por
y lo pasamos todo al primer miembro


Quitamos denominadores y realizamos un cambio de variable

Resolvemos la ecuación



Sistemas de ecuaciones logarítmicas
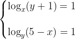
Resolver los siguientes sistemas de ecuaciones logarítmicas

En la primera ecuación aplicamos la propiedad del logaritmo de un producto y la inyectividad de los logaritmos y despejamos la 



Sustituimos el valor de
en la segunda ecuación


Resolvemos la ecuación de segundo grado



En la primera ecuación aplicamos la propiedad del logaritmo de un producto, la inyectividad de los logaritmos y despejamos la



Sustituimos el valor de
en la segunda ecuación


Resolvemos la ecuación de segundo grado


Si sustituimos las
negativas en la ecuación nos encontramos con el logaritmo de un número negativo, por tanto no hallaríamos valores correspondientes de 

Resolvemos el sistema por reducción multiplicando la primera ecuación por 

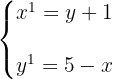
Aplicamos la definición de logaritmo para despejar la 



Sustituimos el valor de
en la ecuación primera incial
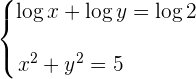
Aplicamos la definición de logaritmo para despejar la 




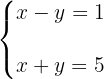
Aplicamos la definición de logaritmo en las dos ecuaciones

Se obtiene el sistema

Operamos y resolvemos la ecuación


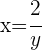
Aplicamos la definición de logaritmo en las dos ecuaciones

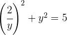
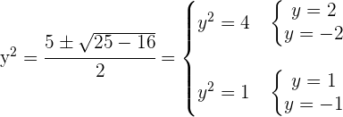
Elevamos al cuadrado en los dos miembros de la segunda ecuación y sustiyuimos el valor de y en la primera ecuación


Operamos y resolvemos la ecuación

Resumir con IA:











Apuntes es una plataforma dirigida al estudio y la práctica de las matemáticas a través de la teoría y ejercicios interactivos que ponemos a vuestra disposición. Esta información está disponible para todo aquel/aquella que quiera profundizar en el aprendizaje de esta ciencia. Será un placer ayudaros en caso de que tengáis dudas frente algún problema, sin embargo, no realizamos un ejercicio que nos presentéis de 0 sin que hayáis si quiera intentado resolverlo. Ánimo, todo esfuerzo tiene su recompensa.
En el ejercicio 10 de la segunda parte hay un error en el último dígito de la respuesta es 5 no 6
Hola te agradecemos tu observación, en cuanto a tu comentario podrías darnos más detalles, pues no encontré el error, nos ayudarías mucho.
En la solución del ejercicio 9 de Logaritmos por definición, la incógnita es la base por lo que la solución (valor de la base) no puede ser negativa, debe ser +1/3
Una disculpa ya se corrigió.
Hola puede mandarme las propiedades de los logaritmos
Hola, ¿ qué propiedad podemos utilizar si por ejemplo existe un logaritmo a la 4ta potencia de ( X-1)
Hola se usa la propiedad de logx^n=n*logx, entonces log(X-1)^4=4*log(X-1).
Hola se usa la propiedad de log x^n=n*logx, entonces log(X-1)^4=4*log(X-1).
Hola tienes razón en tu observación, pero estamos en reestructuración de nuestra plataforma y ese es un error que no se podía corregir, por ten paciencia para hacer el cambio a la nueva versión y ese error desaparecera.