Resolución de sistemas de ecuaciones exponenciales
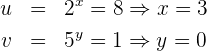
Un sistema de ecuaciones exponenciales es aquel sistema en los que las incógnitas aparecen en los exponentes. Por ejemplo:
Asignando diferentes valores en la ecuación
e
se puede identificar que el sistema se satisface para
y para
. Sin embargo, no siempre es posible aproximar la respuesta de forma inmediata, por lo cual, es conveniente delimitar algunos métodos que nos permitan dar solución a sistemas de este tipo.
Para identificar las posibles formas de resolver un sistema de ecuaciones exponenciales es fundamental identificar tres componentes: el exponente, la base y el resultado de cada ecuación del sistema.
Método de igualación de la base
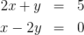
Este método es útil para resolver sistemas en las que los miembros del sistema exponencial tienen potencias con la misma base. Como se puede observar en el siguiente ejemplo:
Para resolver un sistema con este método realizamos el siguiente procedimiento:
1 Reescribimos cada componente en términos de la misma base. En el caso del sistema de ecuaciones exponenciales (1) este se puede reescribir como:
2 Igualamos los exponentes, obteniendo así un sistema de dos ecuaciones lineales con dos incógnitas.
3 Resolvemos el sistema de ecuaciones y en este caso obtenemos que
y 
4 Verificamos que la solución satisfaga el sistema inicial.
Método de cambio de variable
Esta técnica se utiliza para simplificar el sistema exponencial planteado, principalmente cuando aparece la suma o resta de exponenciales con diferente base, como se puede observar en el segundo sistema de ecuaciones exponenciales (2):
Para resolver un sistema con estas características seguimos el siguiente procedimiento:
1 Primero, reescribimos los componente del sistema, de tal manera que obtengamos miembros en ambos sistemas con la misma base y el mismo exponente. Por ejemplo, utilizando la ley de los exponentes
, el sistema (2) se puede expresar de la siguiente forma:
En este ejemplo, se puede observar que en ambas ecuaciones aparecen los términos
y
.
2Después realizamos un cambio de variable. En el caso del sistema (2) las variables son las siguientes:
3 Reescribimos el sistema de ecuaciones con el cambio de variable.
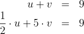
4 Resolvemos el nuevo sistema. Para simplificar el sistema, podemos multiplicar la segunda ecuación por dos.
Utilizando el método de suma y resta obtenemos que
y
.
5 Finalmente, utilizando (3) deshacemos el cambio de variable.

Resumir con IA:









Apuntes es una plataforma dirigida al estudio y la práctica de las matemáticas a través de la teoría y ejercicios interactivos que ponemos a vuestra disposición. Esta información está disponible para todo aquel/aquella que quiera profundizar en el aprendizaje de esta ciencia. Será un placer ayudaros en caso de que tengáis dudas frente algún problema, sin embargo, no realizamos un ejercicio que nos presentéis de 0 sin que hayáis si quiera intentado resolverlo. Ánimo, todo esfuerzo tiene su recompensa.
En la solución del ejercicio 9 de Logaritmos por definición, la incógnita es la base por lo que la solución (valor de la base) no puede ser negativa, debe ser +1/3
Una disculpa ya se corrigió.
Hola puede mandarme las propiedades de los logaritmos
Hola, ¿ qué propiedad podemos utilizar si por ejemplo existe un logaritmo a la 4ta potencia de ( X-1)
Hola se usa la propiedad de logx^n=n*logx, entonces log(X-1)^4=4*log(X-1).
Hola se usa la propiedad de log x^n=n*logx, entonces log(X-1)^4=4*log(X-1).
Por favor corrija la propiedad 7
Hola podrías mencionar cual es el error de la propiedad 7 o es un ejercicio?
Me imagino que se refiere a que no está al símbolo mayor. Está es el símbolo ¿, comparando X y 0.
Hola tienes razón en tu observación, pero estamos en reestructuración de nuestra plataforma y ese es un error que no se podía corregir, por ten paciencia para hacer el cambio a la nueva versión y ese error desaparecera.