Las vibraciones y las ondas son fenómenos fundamentales que se encuentran en numerosos aspectos de la naturaleza. Desde el simple movimiento de un péndulo hasta las ondas sonoras que nos rodean constantemente, estos conceptos son esenciales para comprender una amplia gama de fenómenos físicos.
Este conjunto de ejercicios resueltos tiene como objetivo proporcionar una comprensión práctica de las aplicaciones de las vibraciones y las ondas en diversos contextos. A través de ejemplos concretos y problemas resueltos paso a paso, se explorarán conceptos clave que te ayudarán a consolidar tu comprensión teórica y a desarrollar habilidades para abordar problemas prácticos en el mundo real.
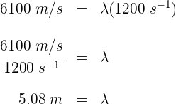
Dentro de una viga de acero se propaga un sonido cuya frecuencia es de 1200 Hz. Si la velocidad del sonido en el acero es de 6100 m/s, encuentra la longitud de onda.
1 Los datos que conocemos son:

2 Empleamos la fórmula para la frecuencia

3 Sustituimos los datos que conocemos y despejamos para obtener la longitud de onda

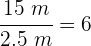
Una onda de longitud 4.57 m y frecuencia 1400 Hz se propaga en una viga de aluminio. Encuentra la velocidad de la onda.
1 Los datos que conocemos son:

2 Empleamos la fórmula para la frecuencia

3 Sustituimos los datos que conocemos para obtener la velocidad

Un delfin emite ultrasonidos con longitud de onda de
. Si la velocidad del sonido en el agua es de
, encuentra la frecuencia.
1 Los datos que conocemos son:

2 Empleamos la fórmula para la frecuencia

3 Sustituimos los datos que conocemos para obtener la frecuencia

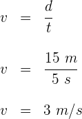
El sonar de un barco envía verticalmente hacia el fondo del mar un pulso de ultrasonidos y capta el eco reflejado al cabo de 0.35 segundos. Si la velocidad del sonido en el agua es 1450 m/s, ¿cuál es la profundidad del mar en esa posición del barco?
1 Los datos que conocemos son:

2 Empleamos la fórmula para la velocidad

3 Sustituimos los datos que conocemos para obtener la distancia

4 La distancia encontrada corresponde a la de ida y regreso, por lo que la distancia del fondo del mar al barco es 
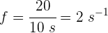
Un bote anclado flota efectuando 12 oscilaciones completas en 10 segundos y la cresta de la ola recorre el bote de 15 metros en 5 segundos. Encuentra el número de ondas completas que existen en cualquier instante a lo largo de la longitud del bote.
1 Primero calculamos la velocidad de la onda, para ello los datos que conocemos son:

2 Empleamos la fórmula para la velocidad

3 Calculamos la frecuencia, para ello empleamos los datos de el número de oscilaciones completas y el tiempo en que se realiza

4 Conociendo la velocidad y la frecuencia de la onda, podemos calcular su longitud

5 Para conocer el número de ondas a lo largo del bote, dividimos la longitud del mismo entre la longitud de onda

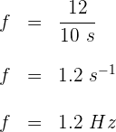
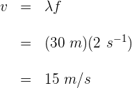
Una botella con un mapa del tesoro que se encuentra flotando en el mar realiza 20 oscilaciones en 10 segundos. Si las crestas de las olas están separadas 30 metros entre si, encuentra la velocidad de la onda marina.
1 Sabiendo que la botella realiza 20 oscilaciones en 10 segundos, podemos encontrar la frecuencia de la onda

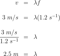
2 También conocemos la longitud de onda que es igual a la separación entre las crestas de las olas 
3 Calculamos la velocidad de la onda

Un terremoto produce ondas transversales con velocidad de 5000 m/s y tarda 90 segundos en ser detectado por el sismógrafo. Encuentra la distancia a la que se produjo el terremoto.
1 Los datos que conocemos son:

2 Empleamos la fórmula para la velocidad

3 Sustituimos los datos que conocemos para obtener la distancia

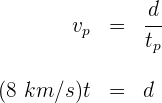
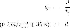
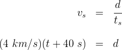
Un terremoto produce ondas primarias que viajan a 8 km/s y ondas secundarias que se mueven a 6 km/s. Si el tiempo de llegada de las dos ondas a la estación de monitoreo tiene un retraso de 35 segundos, ¿qué tiempo le tomó a las ondas primarias llegar desde el origen del terremoto hasta la estación sísmica?
1 Si
es el tiempo que tarda en llegar la onda primaria, los datos que conocemos son:

2 Empleamos la fórmula para la velocidad de ambas ondas

3 Sustituimos los datos que conocemos para obtener la distancia para cada una de las ondas


4 Como ambas ondas recorren la misma distancia, las igualamos y despejamos el tiempo

Un terremoto produce ondas primarias y ondas secundarias, teniendo estas últimas una velocidad de 4.9 km/s y llegan a la estación de monitoreo 38.63 segundos despues de que llegan las ondas primarias. Si el terremoto se originó a 400 kilómetros de la estación de monitoreo, ¿cuál es la velocidad de las ondas primarias?
1 Conocemos la distancia que recorren las ondas secundarias y su velocidad, por lo que calculamos el tiempo empleado desde su origen hasta la estación de monitoreo

2 El tiempo de retraso de las ondas secundarias es de 38.63 segundos , luego el tiempo de las ondas primarias es de 43 segundos.
3 Como ambas ondas recorren la misma distancia, podemos calcular la velocidad de las ondas primarias

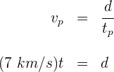
Un terremoto produce ondas primarias que viajan a 7 km/s y ondas secundarias que se mueven a 4 km/s. Si el tiempo de llegada de las dos ondas a la estación de monitoreo tiene un retraso de 40 segundos, ¿a qué distancia de la estación sísmica sucedió el terremoto?
1 Si
es el tiempo que tarda en llegar la onda primaria, los datos que conocemos son:

2 Empleamos la fórmula para la velocidad de ambas ondas

3 Sustituimos los datos que conocemos para obtener la distancia para cada una de las ondas


4 Como ambas ondas recorren la misma distancia, las igualamos y despejamos el tiempo

5 La distancia buscada es

Resumir con IA:

Hola, muchas gracias por compartir estos ejercicios. Me parece que en el ejercicio 3 la respuesta es 2.5Hz y no 0.25Hz. Saludos
La respuesta correcta es 2,5 HZ
Hola te agradecemos tu observación, una disculpa y ya se corrigió.
Holiii. Super buenos ejercicios, pero la tres está mal, pues 1÷0.4s es 2.5hz, no 0.25
Hola te agradecemos tus observaciones y una disculpa, ya se corrigió.
Corrígeme si me equivoco, pero en el 8 el recorrido sería la mitad (600m) , puesto que tarda 1s en llegar al fondo del lago y otro segundo en volver y ser recibida. Un saludo
Hola, me encantaría poder resolver tu dudad, pero necesito que me digas de que tema es tu ejercicio, pues a mi me señala que es un ejercicio de ondas aplicado a un tren de carga y tu mencionas un lago, lo cual me crea dificultades.
La nota musical tiene una frecuencia de 440Hz y tiene una velocidad de 340 m/s en el aire . Calcula su longitud
la 1 esta mal
Hola, disculpa pero podrías señalar porque esta mal, pues no encontré el error.