¡Bienvenido a nuestros ejercicios interactivos sobre reflexión y refracción en ondas! Estos conceptos son fundamentales en el estudio de la física y nos ayudan a comprender cómo se comportan las ondas cuando encuentran diferentes medios o superficies.
En estos ejercicios, calcularemos ángulos de reflexión y refracción y entenderemos cómo se comportan las ondas en diferentes medios, estos ejercicios te ayudarán a comprender mejor estos conceptos físicos y a desarrollar tus habilidades de resolución de problemas.
Fenómeno que ocurre cuando una onda choca contra una superficie y rebota en la dirección opuesta...
Selecciona una respuesta.
Fenómeno que ocurre cuando una onda atraviesa un medio y cambia de dirección debido a un cambio en la velocidad de propagación...
Selecciona una respuesta.
Un rayo incide sobre un medio con ángulo de incidencia de
. Si el rayo se refleja en el medio, su ángulo de reflexión es...
Selecciona una respuesta.
1 Por la propiedad de reflexión se tiene que el ángulo de incidencia es igual al ángulo de reflexión; así, el ángulo de reflexión es 
Un rayo incide sobre una superficie formando un ángulo
. El ángulo de reflexión es...
Selecciona una respuesta.
1 El ángulo formado por la superficie y el ángulo de incidencia son complementarios; así, el ángulo de incidencia es 
2 Por la propiedad de reflexión se tiene que el ángulo de incidencia es igual al ángulo de reflexión; así, el ángulo de reflexión es 
Un rayo incide sobre una superficie formando un ángulo
. ¿Cuál es el ángulo de formado por el rayo de incidencia y el rayo de reflexión? es...
Selecciona una respuesta.
1 El ángulo formado por la superficie y el ángulo de incidencia son complementarios; así, el ángulo de incidencia es 
2 Por la propiedad de reflexión se tiene que el ángulo de incidencia es igual al ángulo de reflexión; así, el ángulo de reflexión es 
3 El ángulo formado por el rayo de incidencia y el rayo de reflexión es igual a la suma de los ángulos de incidencia y reflexión. Entonces, el ángulo buscado es 
En un material la velocidad de la luz es de 250 000 km/s. Su índice de refracción es...
Selecciona una respuesta.
1 Sabemos que la velocidad de la luz es 300 000 km/s y que la velocidad de la luz al proyectarse en el material es 250 000 km/s
2 Utilizamos la fórmula de índice de refracción

3 Sustituimos los valores conocidos y resolvemos

Si el índice de refracción en un medio es 1.53, la velocidad con la que se mueve la luz en este medio es...
Selecciona una respuesta.
1 Sabemos que la velocidad de la luz es 300 000 km/s y que el índice de refracción es 1.53
2 Utilizamos la fórmula de índice de refracción para conocer la velocidad de la luz en el medio

3 Sustituimos los valores conocidos y resolvemos

La velocidad con la que se mueve la luz en el agua es
. Su índice de refracción es...
Selecciona una respuesta.
1 Sabemos que la velocidad de la luz es 300 000 km/s y que la velocidad de la luz en agua es 225 563.9\ km/s
2 Utilizamos la fórmula de índice de refracción

3 Sustituimos los valores conocidos y resolvemos

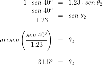
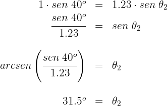
Un rayo de luz que viaja por el aire incide en una lente con un ángulo de incidencia de
. Si el índice de refracción de la lente es 1.23, el ángulo de refracción en la lente es...
Selecciona una respuesta.
1 Sabemos que el índice de refracción en el aire es 1 y que el índice de refracción en la lente es 1.23

2 Utilizamos la fórmula de la ley de Snell

3 Sustituimos los valores conocidos y resolvemos

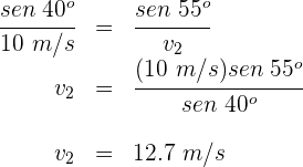
Un frente de ondas viaja con una velocidad de 10 m/s en un medio uno formando un ángulo de incidencia de
. Si el ángulo de refracción en el medio dos es
, la velocidad del frente de ondas en el medio dos es...
Selecciona una respuesta.
1 Conocemos la velocidad y el ángulo de incidencia en el medio uno; también el ángulo de refracción en el medio dos

2 Utilizamos la fórmula de la ley de Snell para velocidades

3 Sustituimos los valores conocidos y resolvemos

Resumir con IA:

Hola, muchas gracias por compartir estos ejercicios. Me parece que en el ejercicio 3 la respuesta es 2.5Hz y no 0.25Hz. Saludos
La respuesta correcta es 2,5 HZ
Hola te agradecemos tu observación, una disculpa y ya se corrigió.
Holiii. Super buenos ejercicios, pero la tres está mal, pues 1÷0.4s es 2.5hz, no 0.25
Hola te agradecemos tus observaciones y una disculpa, ya se corrigió.
Corrígeme si me equivoco, pero en el 8 el recorrido sería la mitad (600m) , puesto que tarda 1s en llegar al fondo del lago y otro segundo en volver y ser recibida. Un saludo
Hola, me encantaría poder resolver tu dudad, pero necesito que me digas de que tema es tu ejercicio, pues a mi me señala que es un ejercicio de ondas aplicado a un tren de carga y tu mencionas un lago, lo cual me crea dificultades.
La nota musical tiene una frecuencia de 440Hz y tiene una velocidad de 340 m/s en el aire . Calcula su longitud
la 1 esta mal
Hola, disculpa pero podrías señalar porque esta mal, pues no encontré el error.