Capítulos
El Movimiento Armónico Simple (MAS) es un concepto fundamental en la física que describe el movimiento oscilatorio de un sistema en torno a una posición de equilibrio. Este fenómeno, que se encuentra en numerosos aspectos de la naturaleza, desde un péndulo hasta las vibraciones de un diapasón, sigue un patrón preciso que podemos desentrañar.
¿Qué es el movimiento armónico simple?
En su esencia más pura, el MAS implica una oscilación periódica alrededor de un punto central. Este punto central es el equilibrio, donde la fuerza neta es cero y el sistema tiende a permanecer en reposo. La característica distintiva del MAS es que la fuerza restauradora (la que devuelve al sistema hacia el equilibrio) es proporcional y opuesta a la distancia desde la posición de equilibrio.
Modelo de movimiento
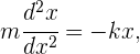
Matemáticamente, este movimiento es modelado por una ecuación simple pero con mucho poder:

            donde  es la fuerza restauradora,
 es la fuerza restauradora,  es la constante del resorte,  (que determina la rigidez del sistema), y
 es la constante del resorte,  (que determina la rigidez del sistema), y  es la posición respecto al equilibrio. Esta ecuación es una formulación de la ley de Hooke.
 es la posición respecto al equilibrio. Esta ecuación es una formulación de la ley de Hooke.
             La segunda ley de Newton,  , también está involucrada, y para el MAS, se reduce a
, también está involucrada, y para el MAS, se reduce a

            Esta ecuación diferencial describe cómo la posición  varía con respecto al tiempo
 varía con respecto al tiempo  en un sistema de MAS.
 en un sistema de MAS.         
via GIPHY
Amplitud, Periodo y Frecuencia
             La amplitud (A) es la máxima distancia desde la posición de equilibrio alcanzada por el sistema. Es decir, representa la "altura" de la oscilación.
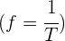
             El periodo (T) es el tiempo necesario para que el sistema complete un ciclo completo de oscilación, volviendo a su posición inicial. La frecuencia (f) es el inverso del periodo  .
.         
Conservación de energía
             La energía del sistema se conserva: en un resorte, la energía alterna entre cinética (por el movimiento) y potencial (cuando el resorte se comprime o estira).
             En un péndulo, notamos el mismo fenómeno: cuando llega a su punto más alto, toda su energía es potencial y se convierte en cinética al caer de nuevo.         
via GIPHY








 Cargando...
Cargando...
Hola, muchas gracias por compartir estos ejercicios. Me parece que en el ejercicio 3 la respuesta es 2.5Hz y no 0.25Hz. Saludos
Hola te agradecemos tu observación, una disculpa y ya se corrigió.
Holiii. Super buenos ejercicios, pero la tres está mal, pues 1÷0.4s es 2.5hz, no 0.25
Hola te agradecemos tus observaciones y una disculpa, ya se corrigió.
Corrígeme si me equivoco, pero en el 8 el recorrido sería la mitad (600m) , puesto que tarda 1s en llegar al fondo del lago y otro segundo en volver y ser recibida. Un saludo
Hola, me encantaría poder resolver tu dudad, pero necesito que me digas de que tema es tu ejercicio, pues a mi me señala que es un ejercicio de ondas aplicado a un tren de carga y tu mencionas un lago, lo cual me crea dificultades.
La nota musical tiene una frecuencia de 440Hz y tiene una velocidad de 340 m/s en el aire . Calcula su longitud
la 1 esta mal
Hola, disculpa pero podrías señalar porque esta mal, pues no encontré el error.