¡Bienvenido al fascinante mundo de las ondas sonoras! Este conjunto de ejercicios interactivos está diseñado para ayudarte a explorar y comprender los conceptos fundamentales de las ondas sonoras.
Esperamos que estos ejercicios te proporcionen una comprensión sólida y una apreciación más profunda de la intensidad, la frecuencia y el timbre.
Representa el estándar de la intensidad mínima para que un sonido sea audible...
Selecciona una respuesta.
Una guitarra y una flauta tocan la misma nota, es decir, ambos sonidos tiene la misma frecuencia, pero podemos distinguir que son diferentes dependiendo del instrumento. Lo que permite realizar esta distinción es...
Selecciona una respuesta.
Es la cantidad de energía transportada por segundo por una onda sonora...
Selecciona una respuesta.
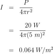
Una alarma emite un sonido con potencia media de
. La intensidad del sonido que se percibe a 5 metros de distancia es...
Selecciona una respuesta.
1 Identificamos los valores conocidos

2 Sustituimos en la fórmula de intensidad y resolvemos

3 Se percibe el sonido de la alarma con una intensidad de 
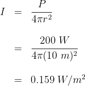
Un sistema de sonido con potencia de
se percibe a 10 metros con una intensidad de...
Selecciona una respuesta.
1 Identificamos los valores conocidos

2 Sustituimos en la fórmula de intensidad y resolvemos

3 Se percibe el sonido con una intensidad de 
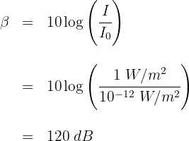
Un concierto de rock tiene una intensidad de
. Su nivel de intensidad es...
Selecciona una respuesta.
1 Identificamos los valores conocidos

2 Sustituimos en la fórmula de nivel de intensidad y resolvemos

3 El nivel de intensidad es de
decibeles.
En promedio el umbral del dolor en las personas se produce con sonidos de intensidades a partir de
. El nivel de intensidad del umbral del dolor es...
Selecciona una respuesta.
1 Identificamos los valores conocidos

2 Sustituimos en la fórmula de nivel de intensidad y resolvemos

3 El nivel de intensidad del umbral del dolor es
decibeles.
Dos personas se susurran entre si con un nivel de intensidad de 20 decibeles. La intensidad del sonido del susurro es...
Selecciona una respuesta.
1 Identificamos los valores conocidos

2 Sustituimos en la fórmula de nivel de intensidad y resolvemos para la intensidad

3 La intensidad de un susurro es
decibeles.
En promedio el umbral del dolor en los perros se produce con sonidos de intensidades a partir de
. El nivel de intensidad del umbral del dolor en los perros es...
Selecciona una respuesta.
1 Identificamos los valores conocidos

2 Sustituimos en la fórmula de nivel de intensidad y resolvemos

3 El nivel de intensidad del umbral del dolor es los perros es
decibeles.
Una patrulla se desplaza a
enciende su sirena a
. Si la velocidad del sonido es
, la frecuencia onda del sonido que percibe una persona parada en un crucero cuando la patrulla se acerca es...
Selecciona una respuesta.
1 Identificamos los valores conocidos

2 Sustituimos en la fórmula de frecuencia observada cuando la fuente sonora se aleja de una persona estacionaria

3 La frecuencia del sonido que percibe la persona parada cuando la patrulla se acerca es
.
Resumir con IA:

Hola, muchas gracias por compartir estos ejercicios. Me parece que en el ejercicio 3 la respuesta es 2.5Hz y no 0.25Hz. Saludos
La respuesta correcta es 2,5 HZ
Hola te agradecemos tu observación, una disculpa y ya se corrigió.
Holiii. Super buenos ejercicios, pero la tres está mal, pues 1÷0.4s es 2.5hz, no 0.25
Hola te agradecemos tus observaciones y una disculpa, ya se corrigió.
Corrígeme si me equivoco, pero en el 8 el recorrido sería la mitad (600m) , puesto que tarda 1s en llegar al fondo del lago y otro segundo en volver y ser recibida. Un saludo
Hola, me encantaría poder resolver tu dudad, pero necesito que me digas de que tema es tu ejercicio, pues a mi me señala que es un ejercicio de ondas aplicado a un tren de carga y tu mencionas un lago, lo cual me crea dificultades.
La nota musical tiene una frecuencia de 440Hz y tiene una velocidad de 340 m/s en el aire . Calcula su longitud
la 1 esta mal
Hola, disculpa pero podrías señalar porque esta mal, pues no encontré el error.