¡Bienvenidos a la sección de Ejercicios de Fundamentos de Vibraciones para estudiantes de ingeniería y física!
En este conjunto de ejercicios, nos adentraremos a un tema central en el estudio de sistemas mecánicos, acústicos y estructurales. Las vibraciones son fenómenos fundamentales que se encuentran en numerosos contextos, desde el movimiento de un péndulo hasta la respuesta dinámica de edificaciones y maquinarias.
A lo largo de estos ejercicios, exploraremos conceptos clave como la frecuencia natural de vibración, el amortiguamiento, la resonancia y la respuesta de sistemas vibrantes a fuerzas externas. Estos ejercicios están diseñados para fortalecer tu comprensión teórica y práctica de las vibraciones, proporcionándote herramientas para analizar y resolver problemas en el ámbito de la ingeniería y la física.
Recomendamos echar un vistazo a Lista de fórmulas clave de vibraciones y ondas para familiarizarse con las ecuaciones que se utilizarán.
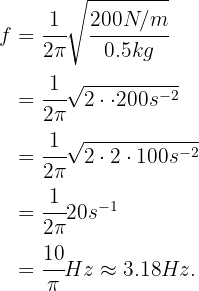
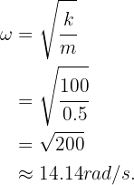
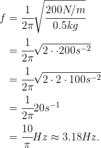
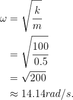
Un sistema de masa-resorte tiene una masa de
y una constante de resorte de
. Calcula la frecuencia natural de vibración del sistema.
Primero recordemos la fórmula de la frecuencia natural de un sistema masa-resorte:
Sustituyendo los valores, obtenemos
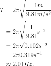
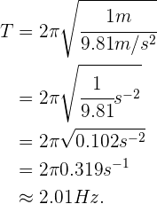
Un péndulo simple tiene una longitud de
metro. Calcula el período de oscilación del péndulo.
El período de oscilación de un péndulo simple se calcula utilizando la fórmula:
donde
. Sustituyendo los valores, obtenemos
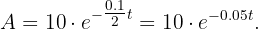
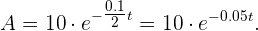
Un sistema amortiguado tiene una amplitud inicial de
y una constante de amortiguamiento de
. Determina si el sistema tiende al reposo.
La amplitud de un sistema amortiguado se calcula utilizando la fórmula
, donde
es la amplitud inicial,
es la constante de amortiguamiento,
es la masa y
el tiempo.
Si
, entonces
, por lo que el sistema tiende al reposo.
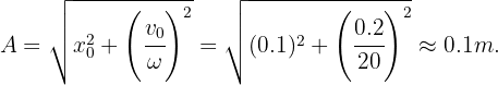
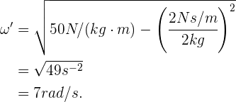
Una partícula de masa
oscila en un resorte con constante
y sin amortiguamiento. Si la partícula se desplaza desde la posición de equilibrio
con una velocidad inicial de
en dirección opuesta al desplazamiento, encuentra la ecuación de movimiento en MAS.
La ecuación de movimiento en un MAS sin amortiguamiento está dada por
donde
es la amplitud,
es la frecuencia angular y
es la fase. Primero, calculamos la frecuencia:
Luego, la amplitud se calcula como 
Es decir, 
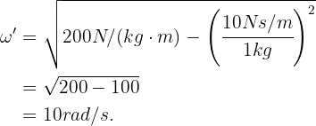
Una masa de
está unida a un resorte con constante
y coeficiente de amortiguamiento
. Calcula la ecuación de movimiento en un MAS amortiguado y describe el comportamiento del sistema.
La ecuación de movimiento para un MAS amortiguado es
, donde
es la frecuencia angular amortiguada. Entonces, recordemos que
, por lo que
Entonces, 
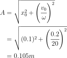
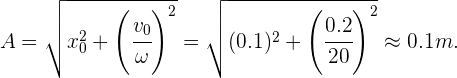
Una masa de
está unida a un resorte con constante
. Si la partícula se desplaza desde la posición de equilibrio
con una velocidad inicial de
en dirección opuesta al desplazamiento, encuentra la ecuación de movimiento.
La ecuación de movimiento para un MAS sin amortiguado es
. Recordemos que 
Además, 
Es decir,
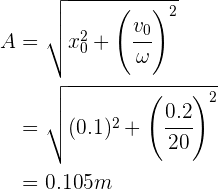
Una masa de
está unida a un resorte con constante
. Si la partícula se desplaza desde la posición de equilibrio
, un coeficiente de amortiguado de
y con una velocidad inicial de
en dirección opuesta al desplazamiento, encuentra la ecuación de movimiento.
La ecuación de movimiento para un MAS amortiguado es
, donde
es la frecuencia angular amortiguada. Entonces, recordemos que
, por lo que
La amplitud es
Entonces, 
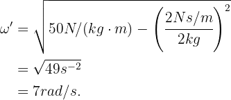
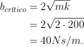
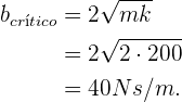
Para un sistema con constante elástica
y masa
, calcula el coeficiente de amortiguamiento crítico y analiza el comportamiento del sistema para diferentes valores de amortiguamiento.
El coeficiente de amortiguamiento crítico se calcula como
Si el amortiguamiento es menor que el crítico, el sistema estará subamortiguado, mientras que si es mayor, estará sobreamortiguado.
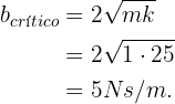
Para un sistema con masa
, constante elástica
y coeficiente de amortiguamiento
, analiza el comportamiento del sistema para diferentes valores de amortiguamiento, incluyendo casos subamortiguados, críticamente amortiguados y sobreamortiguados.
El coeficiente de amortiguamiento es 
Es decir, el sistema es sobreamortiguado, por lo que tiende al reposo sin oscilaciones significativas.
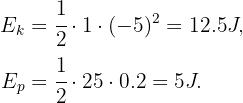
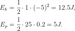
Encuentra la energía cinética y potencial del sistema anterior, asumiendo condiciones iniciales
.
Podemos calcular que la ecuación de movimiento es dada por
Ahora, usando 
Para calcular la velocidad, debemos encontrar la primer derivada del la ecuación de movimiento:
En
, la velocidad es
Por lo que tenemos
Resumir con IA:

Hola, muchas gracias por compartir estos ejercicios. Me parece que en el ejercicio 3 la respuesta es 2.5Hz y no 0.25Hz. Saludos
La respuesta correcta es 2,5 HZ
Hola te agradecemos tu observación, una disculpa y ya se corrigió.
Holiii. Super buenos ejercicios, pero la tres está mal, pues 1÷0.4s es 2.5hz, no 0.25
Hola te agradecemos tus observaciones y una disculpa, ya se corrigió.
Corrígeme si me equivoco, pero en el 8 el recorrido sería la mitad (600m) , puesto que tarda 1s en llegar al fondo del lago y otro segundo en volver y ser recibida. Un saludo
Hola, me encantaría poder resolver tu dudad, pero necesito que me digas de que tema es tu ejercicio, pues a mi me señala que es un ejercicio de ondas aplicado a un tren de carga y tu mencionas un lago, lo cual me crea dificultades.
La nota musical tiene una frecuencia de 440Hz y tiene una velocidad de 340 m/s en el aire . Calcula su longitud
la 1 esta mal
Hola, disculpa pero podrías señalar porque esta mal, pues no encontré el error.