¡Bienvenidos a nuestros ejercicios interactivos de difracción y polarización! En este emocionante viaje, exploraremos dos fenómenos fascinantes que ocurren cuando la luz interactúa con diferentes materiales y estructuras.
La difracción nos lleva a un mundo donde la luz se desvía y se transforma al pasar por obstáculos o aperturas, creando patrones intrigantes de franjas y puntos de luz. A través de nuestros ejercicios, descubrirás cómo la difracción revela información crucial sobre la naturaleza ondulatoria de la luz y su comportamiento en diversas situaciones.
Por otro lado, la polarización nos sumerge en el mundo de la luz "ordenada", donde las vibraciones de las ondas luminosas se alinean en una dirección específica. Exploraremos cómo la polarización afecta la forma en que percibimos la luz y cómo se utiliza en aplicaciones prácticas, desde gafas de sol hasta tecnología de pantalla.
El ángulo de incidencia es...
Selecciona una respuesta.
1El ángulo de reflexión es igual al ángulo de incidencia.
Un objeto se coloca a 10 cm de un espejo cóncavo cuya distancia focal es de 5 cm. La posición de la imagen es...
Selecciona una respuesta.
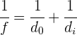
1El recíproco de la distancia focal es igual a la suma de los recíprocos de la distancia del objeto y la distancia de la imagen

2La distancia focal es
, la distancia del objeto es 
3Aplicamos los datos en la fórmula y obtenemos

4Como es una imagen, decimos que tiene una distancia de
del espejo.
Un objeto se coloca a 15 cm de un espejo cóncavo cuya posición de la imagen es de -20 cm. La distancia focal es...
Selecciona una respuesta.
1El recíproco de la distancia focal es igual a la suma de los recíprocos de la distancia del objeto y la distancia de la imagen

2La distancia del objeto es
, la distancia de la imagen es 
3Aplicamos los datos en la fórmula y obtenemos

La imagen de un objeto en un espejo cóncavo es -20 cm y la distancia focal es de 15 cm. La distancia del objeto es...
Selecciona una respuesta.
1El recíproco de la distancia focal es igual a la suma de los recíprocos de la distancia del objeto y la distancia de la imagen

2La distancia focal es
, la distancia de la imagen es 
3Aplicamos los datos en la fórmula y obtenemos

Un objeto se coloca a 20 cm de un espejo cóncavo cuya distancia de la imagen es de 10 cm. El tamaño de la imagen es...
Selecciona una respuesta.
1La fórmula para el tamaño de la imagen es

2La distancia del objeto es
, la distancia de la imagen es 
3Aplicamos los datos en la fórmula y obtenemos

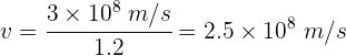
Un cable de fibra óptica tiene un índice de refracción de 1.2. La velocidad de la luz en el cable es...
Selecciona una respuesta.
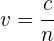
1La fórmula para calcular la velocidad de la luz en un medio es

2El índice de refracción es
y la velocidad de la luz en el vacío es 
3Aplicamos los datos en la fórmula y obtenemos

Un telescopio refractor tiene una longitud focal de 1500 mm y un ocular con una distancia focal de 25 mm. La magnificación del telescopio transmitida es...
Selecciona una respuesta.
1La fórmula para calcular la magnificación de un telescopio refractor es

2La longitud focal es
y la longitud focal del ocular es 
3Aplicamos los datos en la fórmula y obtenemos

Un cable coaxial tiene una atenuación de 1.5 dB por cada 100 metros. La atenuación en dB para un cable de 200 metros es...
Selecciona una respuesta.
1La atenuación total es directamente proporcional a la longitud del cable.
2Luego, la atenuación total para un cable de 200 m es 3 dB
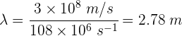
Una antena de radio transmite a una frecuencia de 108 MHz. La longitud de onda de la señal es...
Selecciona una respuesta.
1Para calcular la longitud de onda empleamos la fórmula

2La frecuencia es
y la velocidad de la luz en el vacío es 
3Sustituyendo en la fórmula se obtiene

Un filtro de color absorbe el 30% de la luz roja y el 15% de la luz verde que incide sobre él. La transmisión del filtro para luz blanca es...
Selecciona una respuesta.
1La transmisión del filtro para luz blanca se calcula como el producto de las transmisiones individuales para cada color

2La transmisión del filtro para luz roja es
y la transmisión del filtro para luz verde es 
3Sustituyendo en la fórmula se obtiene

Resumir con IA:

Hola, muchas gracias por compartir estos ejercicios. Me parece que en el ejercicio 3 la respuesta es 2.5Hz y no 0.25Hz. Saludos
La respuesta correcta es 2,5 HZ
Hola te agradecemos tu observación, una disculpa y ya se corrigió.
Holiii. Super buenos ejercicios, pero la tres está mal, pues 1÷0.4s es 2.5hz, no 0.25
Hola te agradecemos tus observaciones y una disculpa, ya se corrigió.
Corrígeme si me equivoco, pero en el 8 el recorrido sería la mitad (600m) , puesto que tarda 1s en llegar al fondo del lago y otro segundo en volver y ser recibida. Un saludo
Hola, me encantaría poder resolver tu dudad, pero necesito que me digas de que tema es tu ejercicio, pues a mi me señala que es un ejercicio de ondas aplicado a un tren de carga y tu mencionas un lago, lo cual me crea dificultades.
La nota musical tiene una frecuencia de 440Hz y tiene una velocidad de 340 m/s en el aire . Calcula su longitud
la 1 esta mal
Hola, disculpa pero podrías señalar porque esta mal, pues no encontré el error.