En el estudio del sonido, la intensidad, la frecuencia y el timbre juegan roles fundamentales para comprender cómo percibimos y caracterizamos los diferentes tipos de sonidos que nos rodean. La intensidad se relaciona con la amplitud de las ondas sonoras y afecta directamente nuestra percepción de la potencia del sonido. Por otro lado, la frecuencia determina el tono del sonido, siendo más alta para tonos agudos y más baja para tonos graves. Además, el timbre describe la calidad única de un sonido que nos permite distinguir entre distintas fuentes sonoras, como instrumentos musicales o voces.
En estos ejercicios resueltos, exploraremos cómo calcular y comprender estos conceptos, así como su aplicación práctica en diversos contextos.
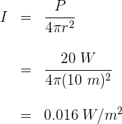
La alarma de una casa se activa y emite un sonido con una potencia media de
. Pedro se encuentra a 10 metros de la fuente de sonido, ¿cuál es la intensidad del sonido que percibe Pedro?
1 Identificamos los valores conocidos

2 Sustituimos en la fórmula de intensidad y resolvemos

3 Pedro percibe el sonido de la alarma con una intensidad de 
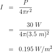
El estéreo de un auto tiene una potencia de
. ¿Cuál es la intensidad del sonido a una distancia de 3.5 metros de la fuente?
1 Identificamos los valores conocidos

2 Sustituimos en la fórmula de intensidad y resolvemos

3 La intensidad del sonido a 3.5 metro de la fuente es 
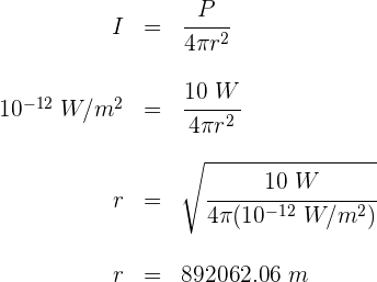
Una alarma emite un sonido con una potencia de
. Si la intensidad del umbral auditivo promedio es de
, esto es, para que un sonido sea perceptible, ¿a qué distancia de la fuente deja de ser audible el sonido de la alarma?
1 Identificamos los valores conocidos

2 Sustituimos en la fórmula de intensidad y resolvemos

3 El sonido deja de ser audible a
de la fuente
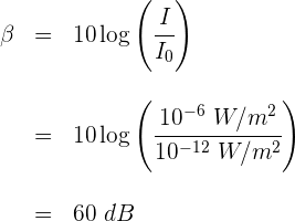
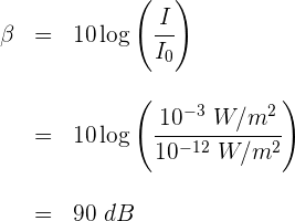
Encuentra el nivel de intensidad de un sonido de
.
1 Identificamos los valores conocidos

2 Sustituimos en la fórmula de nivel de intensidad y resolvemos

3 El nivel de intensidad es de
decibeles.
Encuentra el nivel de intensidad de un sonido de
.
1 Identificamos los valores conocidos

2 Sustituimos en la fórmula de nivel de intensidad y resolvemos

3 El nivel de intensidad es de
decibeles.
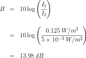
Dos sonidos tienen intensidades de
y
. Encuentra la diferencia en niveles de intensidad.
1 Identificamos los valores conocidos

2 Sustituimos en la fórmula de nivel de intensidad y resolvemos

3 La diferencia en los niveles de intensidadsEl nivel de intensidad es
decibeles.
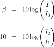
Pedro tiene un sistema de sonido de
y desea adquirir un nuevo sistema de sonido que duplique el volumen del que actualmente tiene. Experimentalmente se ha demos trado que si el nivel de intensidad aumenta por 10 decibeles, entonces el nuevo sonido es aproximadamente el doble de fuerte que el sonido original. Encuentra la potencia del nuevo sistema de sonido que debe adquirir Pedro.
1 Identificamos los valores conocidos

2 Sustituimos en la fórmula de nivel de intensidad y resolvemos

3 Entonces
. Sustituyendo la expresión de la intensidad en término de potencia y área, suponiendo que
, se obtiene

4 Así, para duplicar el sonido original, Pedro debe comprar un equipo de sonido de
.
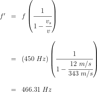
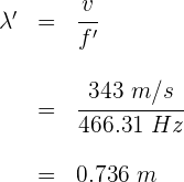
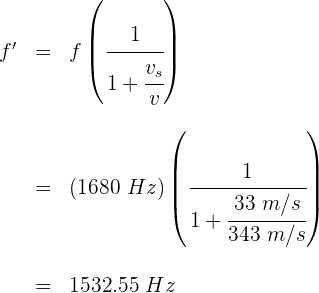
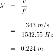
Un tren de carga se desplaza a
cuando el conductor hace sonar el silbato de
. Si la velocidad del sonido es
, encuentra la frecuencia y la longitud de onda del sonido que percibe una persona parada en un crucero cuando el tren se aproxima.
1 Identificamos los valores conocidos

2 Sustituimos en la fórmula de frecuencia observada cuando la fuente sonora se aproxima a una persona estacionaria

3 La frecuencia del sonido que percibe la persona parada cuando el tren se aproxima es
.
4 Calculamos la longitud de onda del sonido

Una patrulla se desplaza a
enciende su sirena a
. Si la velocidad del sonido es
, encuentra la frecuencia y la longitud de onda del sonido que percibe una persona parada en un crucero cuando la patrulla se aleja.
1 Identificamos los valores conocidos

2 Sustituimos en la fórmula de frecuencia observada cuando la fuente sonora se aleja de una persona estacionaria

3 La frecuencia del sonido que percibe la persona parada cuando la patrulla se aleja es
.
4 Calculamos la longitud de onda del sonido

Una ambulancia se desplaza a
enciende su sirena a
. Si la velocidad del sonido es
, encuentra la frecuencia y la longitud de onda del sonido que percibe una persona que se encuentra delante de la ambulancia y se mueve en la misma dirección que esta a
.
1 Identificamos los valores conocidos

2 Sustituimos en la fórmula de frecuencia observada cuando la fuente sonora se aproxima al observador que se aleja de la fuente

3 La frecuencia del sonido que percibe la persona en movimiento cuando la ambulancia se aproxima es
.
4 Calculamos la longitud de onda del sonido

Recuerda que, en Superprof, también te podemos ayudar a encontrar clases de matematicas con un profesor que se pueda adaptar a tus necesidades.
Resumir con IA:

Hola, muchas gracias por compartir estos ejercicios. Me parece que en el ejercicio 3 la respuesta es 2.5Hz y no 0.25Hz. Saludos
La respuesta correcta es 2,5 HZ
Hola te agradecemos tu observación, una disculpa y ya se corrigió.
Holiii. Super buenos ejercicios, pero la tres está mal, pues 1÷0.4s es 2.5hz, no 0.25
Hola te agradecemos tus observaciones y una disculpa, ya se corrigió.
Corrígeme si me equivoco, pero en el 8 el recorrido sería la mitad (600m) , puesto que tarda 1s en llegar al fondo del lago y otro segundo en volver y ser recibida. Un saludo
Hola, me encantaría poder resolver tu dudad, pero necesito que me digas de que tema es tu ejercicio, pues a mi me señala que es un ejercicio de ondas aplicado a un tren de carga y tu mencionas un lago, lo cual me crea dificultades.
La nota musical tiene una frecuencia de 440Hz y tiene una velocidad de 340 m/s en el aire . Calcula su longitud
la 1 esta mal
Hola, disculpa pero podrías señalar porque esta mal, pues no encontré el error.