Sean bienvenidos a esta entra dedicada a presentar ejercicios interactivos de fenómenos de interferencia, con un enfoque a los patrones de interferencia. Los experimentos de doble rendija han sido una piedra angular en la comprensión de la naturaleza dual de la luz y la materia, así como en la exploración de fenómenos fundamentales en la física cuántica. Estos experimentos involucran el paso de ondas a través de dos rendijas, generando un patrón de interferencia que ha desconcertado y fascinado a científicos y estudiantes por igual durante siglos.
En este conjunto de ejercicios, exploraremos diversos aspectos de los experimentos de doble rendija y sus aplicaciones, desde la determinación de la longitud de onda de la luz hasta la relación con conceptos avanzados como la entrelazamiento cuántico y la polarización de la luz. Cada ejercicio ofrece una oportunidad para profundizar en los principios fundamentales de la óptica y la mecánica cuántica, así como para comprender cómo estos conceptos se aplican en diversas áreas de la ciencia y la tecnología.
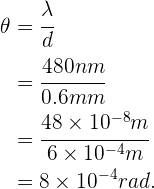
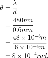
1 En un experimento de doble rendija, la distancia entre las dos rendijas es de 0.6 mm y estas están iluminadas con luz de longitud de onda 480 nm. El ancho angular de la franja oscura en la pantalla a una distancia de 120 cm de las rendijas será:




2¿Qué tipo de información se puede obtener de un experimento de doble rendija utilizando una fuente de luz coherente?
3Explica cómo podrías modificar el experimento de doble rendija para determinar la separación entre dos fuentes de luz.
4En un experimento de doble rendija, se duplica la distancia entre las rendijas manteniendo constante la longitud de onda de la luz. ¿Qué efecto tendrá esto en el patrón de interferencia en la pantalla?
5 ¿Cómo se vería el patrón de interferencia en una doble rendija si se duplicara la longitud de onda de la luz utilizada?

6Describe cómo el experimento de doble rendija se relaciona con el concepto de superposición de ondas.
7¿Qué sucede con el patrón de interferencia de doble rendija si se incrementa la distancia entre la pantalla y las rendijas?
8¿Cómo se modificaría el patrón de interferencia si se aumentara la separación entre las rendijas en un experimento de doble rendija?
9Si se coloca un filtro de color rojo frente a una de las rendijas en un experimento de doble rendija, ¿cómo se vería afectado el patrón de interferencia?
10¿Qué ocurre en el patrón de interferencia si se utiliza luz blanca en lugar de luz monocromática en un experimento de doble rendija?
Hola, muchas gracias por compartir estos ejercicios. Me parece que en el ejercicio 3 la respuesta es 2.5Hz y no 0.25Hz. Saludos
Hola te agradecemos tu observación, una disculpa y ya se corrigió.
Holiii. Super buenos ejercicios, pero la tres está mal, pues 1÷0.4s es 2.5hz, no 0.25
Hola te agradecemos tus observaciones y una disculpa, ya se corrigió.
Corrígeme si me equivoco, pero en el 8 el recorrido sería la mitad (600m) , puesto que tarda 1s en llegar al fondo del lago y otro segundo en volver y ser recibida. Un saludo
Hola, me encantaría poder resolver tu dudad, pero necesito que me digas de que tema es tu ejercicio, pues a mi me señala que es un ejercicio de ondas aplicado a un tren de carga y tu mencionas un lago, lo cual me crea dificultades.
La nota musical tiene una frecuencia de 440Hz y tiene una velocidad de 340 m/s en el aire . Calcula su longitud
la 1 esta mal
Hola, disculpa pero podrías señalar porque esta mal, pues no encontré el error.