Sean bienvenidos a esta entrada dedicada a ejercicios resueltos de óptica y comunicaciones. La óptica y las comunicaciones son áreas fundamentales en el campo de la física que tienen aplicaciones amplias y significativas en nuestra vida cotidiana. Desde la reflexión de la luz en espejos hasta los intricados esquemas de modulación en sistemas de comunicación, estos conceptos son esenciales para entender cómo funcionan dispositivos como telescopios, sistemas de transmisión de datos y láseres, entre otros.
En esta lista de ejercicios, exploraremos diversos problemas relacionados con óptica y comunicaciones, abordando temas como la reflexión y refracción de la luz, la dispersión espectral, la modulación de señales, la propagación de ondas y la resolución de instrumentos ópticos.
Un rayo de luz incide en un espejo plano con un ángulo de 30 grados respecto a la normal. Calcular el ángulo de reflexión.
El ángulo de reflexión es igual al ángulo de incidencia, por lo que es 30 grados.
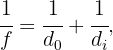
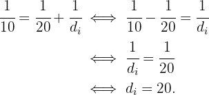
Un objeto se coloca a 20 cm de un espejo cóncavo cuya distancia focal es de 10 cm. Calcular la posición y tamaño de la imagen.
Recordemos que
es la distancia focal,
la distancia del objeto, y
la distancia de la imagen. Por lo que, tenemos

del espejo. Para calcular el tamaño, recordemos que para un espejo cóncavo, la maginficación del objeto se calcula como

representan los tamaños de los objetos en la imagen y original, respectivamente. Por lo tanto, tenemos que

Un haz de luz incide en un prisma con un ángulo de 60 grados respecto a la normal de una de sus caras. Si el ángulo de desviación es de 30 grados, calcular el ángulo de salida del haz de luz del prisma.
La desviación de luz que produce un prisma se calcula como
son los ángulos de incidencia y salida, respectivamente y
el ángulo del prisma. Por lo tanto, tenemos

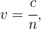
Un cable de fibra óptica tiene un índice de refracción de 1.5. Si la velocidad de la luz en el vacío es de
, calcular la velocidad de la luz en el cable.
La velocidad de la luz en un medio es
es el índice de refracción del medio y
la velocidad de la luz. Es decir, tenemos

Una antena de radio transmite a una frecuencia de 100 MHz. Calcular la longitud de onda de la señal.
La longitud de onda se calcula como
es la velocidad de la luz y
la frecuencia. Por lo tanto,


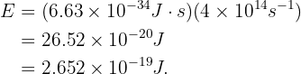
Un objeto emite luz a una frecuencia de
. Calcular la energía de un fotón emitido.
La energía de un fotón se calcula usando la ecuación
es la constante de Planck y
la frecuencia. Es decir,

Un sistema de comunicación envía datos a una tasa de 10 Mbps. Calcular la cantidad de información que puede transmitir en 1 segundo.
La cantidad de información se calcula como
es la tasa de bits por segundo (bit/s), y
el tiempo en segundos. Es decir, tenemos

Un cable coaxial tiene una atenuación de 2 dB por cada 100 metros. Calcular la atenuación en dB para un cable de 500 metros.
La atenuación total se calcula proporcionalmente al largo del cable, por lo que para 500 metros la atenuación es 10 dB.
Un telescopio refractor tiene una longitud focal de 2000 mm y un ocular con una distancia focal de 20 mm. Calcular la magnificación del telescopio transmitida.
La magnificación de un telescopio refractor se calcula dividiendo la distancia focal del telescopio por la distancia focal del ocular, es decir,
Un filtro de color absorbe el 30% de la luz roja y el 20% de la luz verde que incide sobre él. Calcular la transmisión del filtro para luz blanca.
La transmisión del filtro para luz blanca se calcula como el producto de las transmisiones individuales para cada color, es decir,
Resumir con IA:

Hola, muchas gracias por compartir estos ejercicios. Me parece que en el ejercicio 3 la respuesta es 2.5Hz y no 0.25Hz. Saludos
La respuesta correcta es 2,5 HZ
Hola te agradecemos tu observación, una disculpa y ya se corrigió.
Holiii. Super buenos ejercicios, pero la tres está mal, pues 1÷0.4s es 2.5hz, no 0.25
Hola te agradecemos tus observaciones y una disculpa, ya se corrigió.
Corrígeme si me equivoco, pero en el 8 el recorrido sería la mitad (600m) , puesto que tarda 1s en llegar al fondo del lago y otro segundo en volver y ser recibida. Un saludo
Hola, me encantaría poder resolver tu dudad, pero necesito que me digas de que tema es tu ejercicio, pues a mi me señala que es un ejercicio de ondas aplicado a un tren de carga y tu mencionas un lago, lo cual me crea dificultades.
La nota musical tiene una frecuencia de 440Hz y tiene una velocidad de 340 m/s en el aire . Calcula su longitud
la 1 esta mal
Hola, disculpa pero podrías señalar porque esta mal, pues no encontré el error.