¡Bienvenido a nuestros ejercicios sobre reflexión y refracción de ondas! Estos conceptos son fundamentales en el estudio de la física y nos ayudan a comprender cómo se comportan las ondas cuando encuentran diferentes medios o superficies.
La reflexión ocurre cuando una onda choca contra una superficie y rebota en la dirección opuesta. Esto se puede observar en fenómenos cotidianos, como cuando la luz se refleja en un espejo o cuando el sonido rebota en una pared.
Por otro lado, la refracción ocurre cuando una onda atraviesa un medio y cambia de dirección debido a un cambio en la velocidad de propagación. Este fenómeno se puede observar cuando la luz pasa de un medio a otro, como del aire al agua, y cambia de dirección.
En estos ejercicios, exploraremos diferentes escenarios y situaciones que involucran la reflexión y la refracción de ondas. Desde calcular ángulos de reflexión y refracción hasta entender cómo se comportan las ondas en diferentes medios, estos ejercicios te ayudarán a comprender mejor estos conceptos físicos y a desarrollar tus habilidades de resolución de problemas.
Un rayo incide sobre un medio con ángulo de incidencia de
. Si el rayo se refleja en el medio, ¿cuál es el ángulo de reflexión?
1 Por la propiedad de reflexión se tiene que el ángulo de incidencia es igual al ángulo de reflexión; así, el ángulo de reflexión es 
Un rayo incide sobre una superficie formando un ángulo
. ¿Cuál es el ángulo de reflexión?
1 El ángulo formado por la superficie y el ángulo de incidencia son complementarios; así, el ángulo de incidencia es 
2 Por la propiedad de reflexión se tiene que el ángulo de incidencia es igual al ángulo de reflexión; así, el ángulo de reflexión es 
Un rayo incide sobre una superficie formando un ángulo
. ¿Cuál es el ángulo de formado por el rayo de incidencia y el rayo de reflexión?
1 El ángulo formado por la superficie y el ángulo de incidencia son complementarios; así, el ángulo de incidencia es 
2 Por la propiedad de reflexión se tiene que el ángulo de incidencia es igual al ángulo de reflexión; así, el ángulo de reflexión es 
3 El ángulo formado por el rayo de incidencia y el rayo de reflexión es igual a la suma de los ángulos de incidencia y reflexión. Entonces, el ángulo buscado es 
Dos espejos forman un ángulo de
entre si. Un rayo incide sobre el primer espejo con un ángulo de incidencia de
y su rayo de reflexión incide en el segundo espejo. ¿Cuál es el ángulo de incidencia en el segundo espejo?
1 El ángulo formado por la superficie y el ángulo de reflexión son complementarios; así, el ángulo de la superficie y el rayo de reflexión es 
2 El rayo de reflexión y los dos espejos forman un triángulo con ángulos interiores de
y el ángulo formado por el segundo espejo y el rayo de incidencia, el cual es 
3 El ángulo formado por el rayo de incidencia y el segundo espejo, es complementario al ángulo de incidencia en el segundo espejo, entonces, el ángulo de incidencia buscado es 
¿Cuál es el índice de refracción de un material si en él, la velocidad de la luz es de 200 000 km/s?
1 Sabemos que la velocidad de la luz es 300 000 km/s y que la velocidad de la luz al proyectarse en el material es 200 000 km/s
2 Utilizamos la fórmula de índice de refracción

3 Sustituimos los valores conocidos y resolvemos

¿Cuál es el índice de refracción de un material si en él, la velocidad de la luz es de 247 000 km/s?
1 Sabemos que la velocidad de la luz es 300 000 km/s y que la velocidad de la luz al proyectarse en el material es 247 000 km/s
2 Utilizamos la fórmula de índice de refracción

3 Sustituimos los valores conocidos y resolvemos

¿Cuál es la velocidad con la que se mueve la luz en un medio, si el índice de refracción es 1.07?
1 Sabemos que la velocidad de la luz es 300 000 km/s y que el índice de refracción es 1.07
2 Utilizamos la fórmula de índice de refracción para conocer la velocidad de la luz en el medio

3 Sustituimos los valores conocidos y resolvemos

¿Cuál es la velocidad con la que se mueve la luz en el agua, si el índice de refracción es 1.33?
1 Sabemos que la velocidad de la luz es 300 000 km/s y que el índice de refracción es 1.33
2 Utilizamos la fórmula de índice de refracción para conocer la velocidad de la luz en el agua

3 Sustituimos los valores conocidos y resolvemos

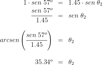
Un rayo de luz que viaja por el aire incide en una lente con un ángulo de incidencia de
. Si el índice de refracción de la lente es 1.45, ¿cuál es el ángulo de refracción en la lente?
1 Sabemos que el índice de refracción en el aire es 1 y que el índice de refracción en la lente es 1.45

2 Utilizamos la fórmula de la ley de Snell

3 Sustituimos los valores conocidos y resolvemos

Un frente de ondas viaja con una velocidad de 7 m/s en un medio uno formando un ángulo de incidencia de
. Si el ángulo de refracción en el medio dos es
, ¿cuál es la velocidad del frente de ondas en el medio dos?
1 Conocemos la velocidad y el ángulo de incidencia en el medio uno; también el ángulo de refracción en el medio dos

2 Utilizamos la fórmula de la ley de Snell para velocidades

3 Sustituimos los valores conocidos y resolvemos

Resumir con IA:

Hola, muchas gracias por compartir estos ejercicios. Me parece que en el ejercicio 3 la respuesta es 2.5Hz y no 0.25Hz. Saludos
La respuesta correcta es 2,5 HZ
Hola te agradecemos tu observación, una disculpa y ya se corrigió.
Holiii. Super buenos ejercicios, pero la tres está mal, pues 1÷0.4s es 2.5hz, no 0.25
Hola te agradecemos tus observaciones y una disculpa, ya se corrigió.
Corrígeme si me equivoco, pero en el 8 el recorrido sería la mitad (600m) , puesto que tarda 1s en llegar al fondo del lago y otro segundo en volver y ser recibida. Un saludo
Hola, me encantaría poder resolver tu dudad, pero necesito que me digas de que tema es tu ejercicio, pues a mi me señala que es un ejercicio de ondas aplicado a un tren de carga y tu mencionas un lago, lo cual me crea dificultades.
La nota musical tiene una frecuencia de 440Hz y tiene una velocidad de 340 m/s en el aire . Calcula su longitud
la 1 esta mal
Hola, disculpa pero podrías señalar porque esta mal, pues no encontré el error.