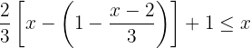
Resuelve la inecuación: 
Para resolver la inecuación, primero es necesario desarrollar las operaciones indicadas por los paréntesis, por lo cual primero multiplicamos por
: 
Después, multiplicamos
por lo que se encuentra entre paréntesis: 
Para simplificar la expresión, multiplicamos ambos lados de la inecuación por
:


Agrupamos los términos semejantes:

De esta forma, podemos concluir que para que la inecuación se satisfaga
será mayor o igual que 
Gráficamente, se puede representar de la siguiente manera:

Mientras que algebraicamente, de la siguiente forma: 
Resuelve la inecuación: 
Primero, calculemos las raíces de la ecuación.
Para esto, igualamos la expresión
a cero y utilizamos la formula general:

Una vez calculadas las raíces, podemos reescribir la inecuación: 
Calculamos la raíz cuadrada de ambos lados de la inecuación:

Notemos que el valor absoluto siempre será un número positivo, entonces la inecuación únicamente se satisface cuando es igual a cero, de la siguiente forma:
Simplificamos y resolvemos:

Resuelve: 
Calculemos las raíces del numerador y del denominador para analizar el comportamiento de la inecuación por intervalos.
Primero, calculamos las raíces del numerador:
El numerador siempre es positivo, por tanto solo estudiaremos el signo del denominador:
Después consideremos tres intervalos:
,
y 
Consideramos tres valores para
, cada uno perteneciente a un intervalo distinto:
Caso 1:
Por tanto los valores de
en el intervalo
satisfacen la inecuación.
Caso 3:

Por tanto los valores de
en el intervalo
satisfacen la inecuación. La representación gráfica de la solución es:

La representación algebraica de la solución es: 
Calcula los valores de
para los que las raíces de la ecuación
sean las dos reales y distintas.
Para que la ecuación tenga dos raíces reales y distintas el discriminate
tiene que ser mayor que cero es decir: 
Resolvemos la inecuación:


Para despejar
, dividimos todo entre
:


Por lo anterior, podemos concluir que
es menor que
. La representación gráfica del conjunto solución es:

La representación algebraica del conjunto solución es: 
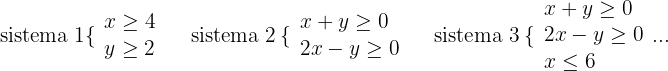
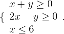
Resuelve, graficamente, los siguientes sistemas de inecuaciones:

Sistema 1

Transformamos las dos inecuaciones en igualdades:

Como
el conjunto solución estará a la derecha de
incluyendo la recta.
Como
el conjunto solución estará encima de la recta
incluyendo la recta. Finalmente, representamos el conjunto solución de ambas inecuaciones. La solución al sistema es la intersección de las regiones soluciones

Sistema 2

Primero, representamos la región solución de la primera inecuación.
Para graficar la primera inecuación, podemos, por ejemplo, transformar la inecuación en una igualdad y calcular dos puntos que pasen por la recta, de la siguiente manera:


Con las coordenadas
y
podemos trazar la gráfica. Como
el conjunto solución estará arriba de la recta
incluyendo la recta.
Podemos verificar lo anterior considerando alguna coordenada arriba de la recta, por ejemplo
.

Para graficar la segunda inecuación, realizamos un procedimiento similar.
Transformamos la desigualdad en igualdad:

Con las coordenadas
y
podemos trazar la gráfica. Como
el conjunto solución estará debajo de la recta
incluyendo la recta.
Podemos verificar lo anterior considerando alguna coordenada, por ejemplo
.

La solución es la intersección de las regiones soluciones.

Sistema 3

Por el sistema anteriormente resuelto sabemos que el conjunto solución de la primera y segunda inecuación se representa gráficamente de la siguiente manera:

Después, representamos la región solución de la tercera inecuación. Graficamos, la recta
incluyendo la recta. Por lo cual los valores a la izquierda de la recta satisfacen la inecuación (si no estamos seguros podemos considerar
, notemos que
2<6[/latex].

Finalmente, la solución del sistema de inecuaciones es la intersección de las regiones soluciones.

Resumir con IA:

Apuntes es una plataforma dirigida al estudio y la práctica de las matemáticas a través de la teoría y ejercicios interactivos que ponemos a vuestra disposición. Esta información está disponible para todo aquel/aquella que quiera profundizar en el aprendizaje de esta ciencia. Será un placer ayudaros en caso de que tengáis dudas frente algún problema, sin embargo, no realizamos un ejercicio que nos presentéis de 0 sin que hayáis si quiera intentado resolverlo. Ánimo, todo esfuerzo tiene su recompensa.
Ayúdame a resolver esto: una hamburguesa cuesta $5 y un gaseosa $2. Un cliente tiene máximo $20.¿Cuántas hamburguesas y gaseosas puede comprar?
✅ Datos
Precio de una hamburguesa = $5
Precio de una gaseosa = $2
Dinero máximo = $20
Buscamos todas las combinaciones posibles con:
5
ℎ
+
2
𝑔
≤
20
5h+2g≤20
donde h = hamburguesas (entero ≥ 0)
y g = gaseosas (entero ≥ 0)
✅ Probando cada cantidad de hamburguesas
Si compra 0 hamburguesas
Usa solo gaseosas:
$20 ÷ $2 = 10 gaseosas
➡ (0 hamburguesas, 10 gaseosas)
Si compra 1 hamburguesa
Costo hamburguesas: 1 × 5 = $5
Dinero restante: 20 – 5 = $15
Gaseosas: 15 ÷ 2 = 7.5 → solo se puede 7 gaseosas
➡ (1 hamburguesa, 7 gaseosas)
Si compra 2 hamburguesas
Costo: 2 × 5 = $10
Resto: 20 – 10 = $10
Gaseosas: 10 ÷ 2 = 5 gaseosas
➡ (2 hamburguesas, 5 gaseosas)
Si compra 3 hamburguesas
Costo: 3 × 5 = $15
Resto: 20 – 15 = $5
Gaseosas: 5 ÷ 2 = 2.5 → solo 2 gaseosas
➡ (3 hamburguesas, 2 gaseosas)
Si compra 4 hamburguesas
Costo: 4 × 5 = $20
Resto: 0
Gaseosas: 0
➡ (4 hamburguesas, 0 gaseosas)
Si compra 5 hamburguesas
5 × 5 = $25, eso pasa de $20 ❌ No se puede
✅ Todas las combinaciones válidas
Hamburguesas Gaseosas Total
0 10 0×5 + 10×2 = 20
1 7 1×5 + 7×2 = 19
2 5 2×5 + 5×2 = 20
3 2 3×5 + 2×2 = 19
4 0 4×5 + 0 = 20
✅ Estas son todas las combinaciones posibles con máximo $20.
3 hamburguesas y 2 gaseosas
En el ejercicio 9 de inecuaciones hay un error en el resultado, crec. Pone (-4,3) U (3,4) y creo que deberia ser (-4,-3)U(3,4). S no no lo comprendo.
Hola, fue un error nuestro discúlpanos ya se corrigió y gracias por tu ayuda.
48x+12>108
10(×+1)+<6(2×+1)