Capítulos
¿Qué es la solución de una inecuación?
La solución de una inecuación es el conjunto de valores de las variables que verifica la inecuacíón. El conjunto de soluciones genera una región geométrica en la recta real si la inecuación es de una variable, o en el plano si es de dos.
Ejemplo:
- La inecuación
nos genera la siguiente región en el plano.

Sistema de inecuaciones
La solución de un sistema de inecuaciones es la intersección de las regiones que corresponden a la solución de cada inecuación.
Un sistema de inecuaciones se dice que es lineal, si en ambos lados de cada inecuación aparece una expresión de primer grado.

Ejemplos de sistemas de inecuaciones lineales con dos incógnitas
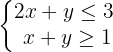
Vamos a resolver el sistema:

Representamos la región solución de la primera inecuación
1 Transformamos la desigualdad en igualdad.

2 Damos dos valores a una de las dos variables , con lo que obtenemos dos puntos


3 Al representar y unir estos puntos obtenemos una recta

Finalmente tomamos un punto, por ejemplo el (0, 0), lo sustituimos en la desigualdad. Si se cumple, la solución es el semiplano donde se encuentra el punto, si no, la solución será el otro semiplano

Sí se cumple la inecuación
Como se cumple, la solución es el semiplano donde se encuentra (0, 0) incluida la recta

Representamos la región solución de la segunda inecuación
1 Transformamos la desigualdad en igualdad.

2 Damos dos valores a una de las dos variables, con lo que obtenemos dos puntos



3 Tomamos un punto, por ejemplo el (0, 0) de nuevo, lo sustituimos en la desigualdad.

No se cumple la inecuación
Como no se cumple, la solución es el semiplano donde no se encuentra (0, 0), incluida la recta

La solución es la intersección de las regiones soluciones.

Ejemplos de sistemas de inecuaciones lineales con una incógnita
Se resuelve cada inecuación por separado. El conjunto solución del sistema es la intersección de los conjuntos soluciones de ambas inecuaciones.
1 
Resolvemos la primera inecuación

Resolvemos la segunda inecuación

Consideramos la intersección de las soluciones

El intervalo de soluciones es [−1, 3]
2 
Resolvemos la primera inecuación

Resolvemos la segunda inecuación

Consideramos la intersección de las soluciones

El intervalo de soluciones es (3, ∞)
3 
Resolvemos la primera inecuación

Resolvemos la segunda inecuación

Consideramos la intersección de las soluciones

No tiene solución.
Resumir con IA:









Apuntes es una plataforma dirigida al estudio y la práctica de las matemáticas a través de la teoría y ejercicios interactivos que ponemos a vuestra disposición. Esta información está disponible para todo aquel/aquella que quiera profundizar en el aprendizaje de esta ciencia. Será un placer ayudaros en caso de que tengáis dudas frente algún problema, sin embargo, no realizamos un ejercicio que nos presentéis de 0 sin que hayáis si quiera intentado resolverlo. Ánimo, todo esfuerzo tiene su recompensa.
Ayúdame a resolver esto: una hamburguesa cuesta $5 y un gaseosa $2. Un cliente tiene máximo $20.¿Cuántas hamburguesas y gaseosas puede comprar?
✅ Datos
Precio de una hamburguesa = $5
Precio de una gaseosa = $2
Dinero máximo = $20
Buscamos todas las combinaciones posibles con:
5
ℎ
+
2
𝑔
≤
20
5h+2g≤20
donde h = hamburguesas (entero ≥ 0)
y g = gaseosas (entero ≥ 0)
✅ Probando cada cantidad de hamburguesas
Si compra 0 hamburguesas
Usa solo gaseosas:
$20 ÷ $2 = 10 gaseosas
➡ (0 hamburguesas, 10 gaseosas)
Si compra 1 hamburguesa
Costo hamburguesas: 1 × 5 = $5
Dinero restante: 20 – 5 = $15
Gaseosas: 15 ÷ 2 = 7.5 → solo se puede 7 gaseosas
➡ (1 hamburguesa, 7 gaseosas)
Si compra 2 hamburguesas
Costo: 2 × 5 = $10
Resto: 20 – 10 = $10
Gaseosas: 10 ÷ 2 = 5 gaseosas
➡ (2 hamburguesas, 5 gaseosas)
Si compra 3 hamburguesas
Costo: 3 × 5 = $15
Resto: 20 – 15 = $5
Gaseosas: 5 ÷ 2 = 2.5 → solo 2 gaseosas
➡ (3 hamburguesas, 2 gaseosas)
Si compra 4 hamburguesas
Costo: 4 × 5 = $20
Resto: 0
Gaseosas: 0
➡ (4 hamburguesas, 0 gaseosas)
Si compra 5 hamburguesas
5 × 5 = $25, eso pasa de $20 ❌ No se puede
✅ Todas las combinaciones válidas
Hamburguesas Gaseosas Total
0 10 0×5 + 10×2 = 20
1 7 1×5 + 7×2 = 19
2 5 2×5 + 5×2 = 20
3 2 3×5 + 2×2 = 19
4 0 4×5 + 0 = 20
✅ Estas son todas las combinaciones posibles con máximo $20.
3 hamburguesas y 2 gaseosas
En el ejercicio 9 de inecuaciones hay un error en el resultado, crec. Pone (-4,3) U (3,4) y creo que deberia ser (-4,-3)U(3,4). S no no lo comprendo.
Hola, fue un error nuestro discúlpanos ya se corrigió y gracias por tu ayuda.
48x+12>108
10(×+1)+<6(2×+1)