Escoge la opción correcta:
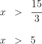
La solución de la inecuación
es...
Selecciona una respuesta.
1Agrupamos los términos en
a un lado de la desigualdad y los términos independientes en el otro

2Efectuamos las operaciones

3Despejamos la incógnita

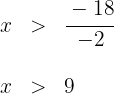
La solución de la inecuación
es...
Selecciona una respuesta.
1Agrupamos los términos en
a un lado de la desigualdad y los términos independientes en el otro

2Efectuamos las operaciones

3Despejamos la incógnita, recordando que al dividir entre un número negativo se invierte elsímbolo

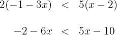
La solución de la inecuación
es...
Selecciona una respuesta.
1Quitamos los paréntesis

2Agrupamos los términos en
a un lado de la desigualdad y los términos independientes en el otro

3Efectuamos las operaciones

4Despejamos la incógnita

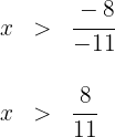
La solución de la inecuación
es...
Selecciona una respuesta.
1Quitamos los paréntesis

2Agrupamos los términos en
a un lado de la desigualdad y los términos independientes en el otro

3Efectuamos las operaciones

4Despejamos la incógnita y simplificamos

La solución como intervalo de la inecuación
es...
Selecciona una respuesta.
1Quitamos los paréntesis

2Agrupamos los términos en
a un lado de la desigualdad y los términos independientes en el otro

3Efectuamos las operaciones

4Despejamos la incógnita, recordando que al dividir por un número negativo se invierte la desigualdad

5 Así, la solución en forma de intervalo es 
La solución como intervalo de la inecuación
es...
Selecciona una respuesta.
1Quitamos los paréntesis

2Agrupamos los términos en
a un lado de la desigualdad y los términos independientes en el otro

3Efectuamos las operaciones

4Despejamos la incógnita, recordando que al dividir por un número negativo se invierte la desigualdad

5 Así, la solución en forma de intervalo es 
La solución de la ecuación
es...
Selecciona una respuesta.
1Quitamos paréntesis

2Quitamos denominadores y operamos

3Agrupamos los términos en
a un lado de la desigualdad y los términos independientes en el otro

4Efectuamos las operaciones

5Despejamos la incógnita

La solución de la ecuación \textless
es...
Selecciona una respuesta.
1Quitamos denominadores y operamos

2Agrupamos los términos en
a un lado de la desigualdad y los términos independientes en el otro

3Efectuamos las operaciones

4Despejamos la incógnita

La solución de la ecuación
es...
Selecciona una respuesta.
1Quitamos denominadores y operamos

2Agrupamos los términos en
a un lado de la desigualdad y los términos independientes en el otro

3Efectuamos las operaciones

4En intervalos el resultado es 
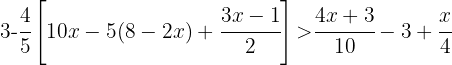
La solución como intervalo de la inecuación
es...
Selecciona una respuesta.
1Operamos dentro de los corchetes y quitamos paréntesis y corchetes

2Operamos, pasamos a común denominador y quitamos denominadores

3Agrupamos los términos en
a un lado de la desigualdad y los términos independientes en el otro

4Efectuamos las operaciones

5Despejamos la incógnita y simplificamos

6Por tanto, la solución de esta inecuación en forma de intervalo es 
Si tienes dudas puedes consultar la teoría
Resumir con IA:

Apuntes es una plataforma dirigida al estudio y la práctica de las matemáticas a través de la teoría y ejercicios interactivos que ponemos a vuestra disposición. Esta información está disponible para todo aquel/aquella que quiera profundizar en el aprendizaje de esta ciencia. Será un placer ayudaros en caso de que tengáis dudas frente algún problema, sin embargo, no realizamos un ejercicio que nos presentéis de 0 sin que hayáis si quiera intentado resolverlo. Ánimo, todo esfuerzo tiene su recompensa.
Ayúdame a resolver esto: una hamburguesa cuesta $5 y un gaseosa $2. Un cliente tiene máximo $20.¿Cuántas hamburguesas y gaseosas puede comprar?
✅ Datos
Precio de una hamburguesa = $5
Precio de una gaseosa = $2
Dinero máximo = $20
Buscamos todas las combinaciones posibles con:
5
ℎ
+
2
𝑔
≤
20
5h+2g≤20
donde h = hamburguesas (entero ≥ 0)
y g = gaseosas (entero ≥ 0)
✅ Probando cada cantidad de hamburguesas
Si compra 0 hamburguesas
Usa solo gaseosas:
$20 ÷ $2 = 10 gaseosas
➡ (0 hamburguesas, 10 gaseosas)
Si compra 1 hamburguesa
Costo hamburguesas: 1 × 5 = $5
Dinero restante: 20 – 5 = $15
Gaseosas: 15 ÷ 2 = 7.5 → solo se puede 7 gaseosas
➡ (1 hamburguesa, 7 gaseosas)
Si compra 2 hamburguesas
Costo: 2 × 5 = $10
Resto: 20 – 10 = $10
Gaseosas: 10 ÷ 2 = 5 gaseosas
➡ (2 hamburguesas, 5 gaseosas)
Si compra 3 hamburguesas
Costo: 3 × 5 = $15
Resto: 20 – 15 = $5
Gaseosas: 5 ÷ 2 = 2.5 → solo 2 gaseosas
➡ (3 hamburguesas, 2 gaseosas)
Si compra 4 hamburguesas
Costo: 4 × 5 = $20
Resto: 0
Gaseosas: 0
➡ (4 hamburguesas, 0 gaseosas)
Si compra 5 hamburguesas
5 × 5 = $25, eso pasa de $20 ❌ No se puede
✅ Todas las combinaciones válidas
Hamburguesas Gaseosas Total
0 10 0×5 + 10×2 = 20
1 7 1×5 + 7×2 = 19
2 5 2×5 + 5×2 = 20
3 2 3×5 + 2×2 = 19
4 0 4×5 + 0 = 20
✅ Estas son todas las combinaciones posibles con máximo $20.
3 hamburguesas y 2 gaseosas
En el ejercicio 9 de inecuaciones hay un error en el resultado, crec. Pone (-4,3) U (3,4) y creo que deberia ser (-4,-3)U(3,4). S no no lo comprendo.
Hola, fue un error nuestro discúlpanos ya se corrigió y gracias por tu ayuda.
48x+12>108
10(×+1)+<6(2×+1)