Capítulos
Una inecuación es una pregunta entre dos cantidades algebraicas. La inecuación contiene incógnitas. Resolviendo una desigualdad, encontramos los valores de nuestras incógnitas y, asi, hacemos que la desigualdad sea verdadera.
Sistemas de dos inecuaciones con dos incógnitas
Resolver los siguientes ejercicios de sistemas de inecuaciones lineales.

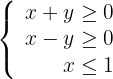
a Representamos la región solución de la primera inecuación.
1 Transformamos la desigualdad en igualdad
2 A una de las dos variables le damos dos valores y los sustituimos en la igualdad anterior para obtener dos puntos 

3 Al representar y unir estos puntos obtenemos una recta

4 Tomamos un punto arbitrario, por ejemplo el
y lo sustituimos en la desigualdad. Si se cumple, la solución es el semiplano donde se encuentra el punto, si no la solución será el otro semiplano

Como se cumple, la solución es el semiplano donde se encuentra
incluida la recta

b Representamos la región solución de la segunda inecuación.
1 Transformamos la desigualdad en igualdad
2 Damos a una de las dos variables dos valores para obtener dos puntos 

3 Al representar y unir estos dos puntos obtenemos una recta

4 Sustituimos el punto
en la desigualdad para verificar si la satisface

Como no se cumple, la solución es el semiplano donde no se encuentra
incluida la recta

c La solución del sistema de inecuaciones es la intersección de las dos regiones soluciones.


1 Transformamos las desigualdades en igualdades
2 Representamos las dos rectas en el plano cartesiano.
Como
, la solución estará a la derecha de la recta
incluyendo la recta.
Como
, la solución estará sobre la recta
incluyendo la recta.
3 La solución al sistema de inecuaciones es la intersección de las regiones soluciones


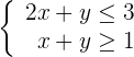
aRepresentamos la región solución de la primera inecuación.
1 Transformamos la desigualdad en igualdad
2 Sustituimos dos valores de la variable
en la igualdad anterior, con ello obtenemos dos puntos 

3 Al representar y unir estos puntos obtenemos una recta.
4 Tomamos un punto arbitrario que no esté en la recta, por ejemplo el
y lo sustituimos en la desigualdad. Si se cumple, la solución es el semiplano donde se encuentra el punto, si no la solución será el otro semiplano

Como se cumple la desigualdad, la solución es el semiplano que contiene al punto
incluida la recta

b Representamos la región solución de la segunda inecuación.
1 Transformamos la desigualdad en igualdad
`

2 Sustituimos dos valores de la variable
en la igualdad anterior, con ello obtenemos dos puntos 

3 Tomamos un punto arbitrario que no esté en la recta, por ejemplo el
y lo sustituimos en la desigualdad

Como se cumple la desigualdad, la solución es el semiplano que contiene al punto
incluida la recta

c La solución del sistema de inecuaciones es la intersección de las regiones soluciones.


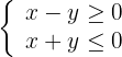
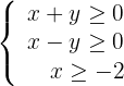
aRepresentamos la región solución de la primera inecuación.
1 Transformamos la desigualdad en igualdad
2 Sustituimos dos valores de la variable
en la igualdad anterior, con ello obtenemos dos puntos 

3 Al representar y unir estos puntos obtenemos una recta.
4 Tomamos un punto arbitrario que no esté en la recta, por ejemplo el
y lo sustituimos en la desigualdad. Si se cumple, la solución es el semiplano donde se encuentra el punto, si no la solución será el otro semiplano
Como se cumple la desigualdad, la solución es el semiplano que contiene al punto
incluida la recta

b Representamos la región solución de la segunda inecuación.
1 Transformamos la desigualdad en igualdad
`

2 Sustituimos dos valores de la variable
en la igualdad anterior, con ello obtenemos dos puntos 

3 Tomamos un punto arbitrario que no esté en la recta, por ejemplo el
y lo sustituimos en la desigualdad

Como no se cumple la desigualdad, la solución es el semiplano que no contiene al punto
incluida la recta

c La solución del sistema de inecuaciones es la intersección de las regiones soluciones.


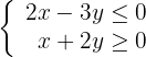
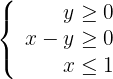
aRepresentamos la región solución de la primera inecuación.
1 Transformamos la desigualdad en igualdad
2 Sustituimos dos valores de la variable
en la igualdad anterior, con ello obtenemos dos puntos 

3 Al representar y unir estos puntos obtenemos una recta.
4 Tomamos un punto arbitrario que no esté en la recta, por ejemplo el
y lo sustituimos en la desigualdad. Si se cumple, la solución es el semiplano donde se encuentra el punto, si no la solución será el otro semiplano

Como no se cumple la desigualdad, la solución es el semiplano que no contiene al punto
incluida la recta

b Representamos la región solución de la segunda inecuación.
1 Transformamos la desigualdad en igualdad
`

2 Sustituimos dos valores de la variable
en la igualdad anterior, con ello obtenemos dos puntos 

3 Tomamos un punto arbitrario que no esté en la recta, por ejemplo el
y lo sustituimos en la desigualdad

Como se cumple la desigualdad, la solución es el semiplano que contiene al punto
incluida la recta

c La solución del sistema de inecuaciones es la intersección de las regiones soluciones.

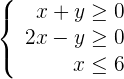
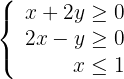
Sistemas de tres inecuaciones con dos incógnitas
Resolver los siguientes ejercicios de sistemas de inecuaciones lineales.

a Representamos la región solución de la primera inecuación.
1 Transformamos la desigualdad en igualdad
2 Consideramos dos valores para la variable
, con lo que obtenemos dos puntos 

3 Al representar y unir estos puntos obtenemos una recta.
4 Tomamos un punto arbitrario que no esté en la recta, por ejemplo el
y lo sustituimos en la desigualdad. Si se cumple, la solución es el semiplano donde se encuentra el punto, si no la solución será el otro semiplano

Como se cumple la desigualdad, la solución es el semiplano que contiene al punto
incluida la recta

b Representamos la región solución de la segunda inecuación.
1 Transformamos la desigualdad en igualdad
2 Consideramos dos valores para la variable
, con lo que obtenemos dos puntos 

3 Tomamos un punto arbitrario que no esté en la recta, por ejemplo el
y lo sustituimos en la desigualdad

Como se cumple la desigualdad, la solución es el semiplano que contiene al punto
incluida la recta

c Representamos la región solución de la tercera inecuación.
1 Representamos la recta 
2 Consideramos un valor de
que no esté en la recta, por ejemplo
y lo sustituimos en la desigualdad

Como se cumple la desigualdad la solución es el semiplano donde se encuentra ell valor 

d La solución es la intersección de las regiones soluciones.


a Representamos la región solución de la primera inecuación.
1 Transformamos la desigualdad en igualdad
2 Consideramos dos valores para la variable
, con lo que obtenemos dos puntos 

3 Al representar y unir estos puntos obtenemos una recta.
4 Tomamos un punto arbitrario que no esté en la recta, por ejemplo el
y lo sustituimos en la desigualdad. Si se cumple, la solución es el semiplano donde se encuentra el punto, si no la solución será el otro semiplano

Como se cumple la desigualdad, la solución es el semiplano que contiene al punto
incluida la recta

b Representamos la región solución de la segunda inecuación.
1 Transformamos la desigualdad en igualdad
2 Consideramos dos valores para la variable
, con lo que obtenemos dos puntos 

3 Tomamos un punto arbitrario que no esté en la recta, por ejemplo el
y lo sustituimos en la desigualdad

Como se cumple la desigualdad, la solución es el semiplano que contiene al punto
incluida la recta

c Representamos la región solución de la tercera inecuación.
1 Representamos la recta 
2 Consideramos un valor de
que no esté en la recta, por ejemplo
y lo sustituimos en la desigualdad

Como no se cumple la desigualdad la solución es el semiplano donde no se encuentra ell valor 

d La solución es la intersección de las regiones soluciones.


a Representamos la región solución de la primera inecuación.
1 Transformamos la desigualdad en igualdad
2 Consideramos dos valores para la variable
, con lo que obtenemos dos puntos 

3 Al representar y unir estos puntos obtenemos una recta.
4 Tomamos un punto arbitrario que no esté en la recta, por ejemplo el
y lo sustituimos en la desigualdad. Si se cumple, la solución es el semiplano donde se encuentra el punto, si no la solución será el otro semiplano

Como se cumple la desigualdad, la solución es el semiplano que contiene al punto
incluida la recta

b Representamos la región solución de la segunda inecuación.
1 Transformamos la desigualdad en igualdad
2 Consideramos dos valores para la variable
, con lo que obtenemos dos puntos 

3 Tomamos un punto arbitrario que no esté en la recta, por ejemplo el
y lo sustituimos en la desigualdad

Como se cumple la desigualdad, la solución es el semiplano que contiene al punto
incluida la recta

c Representamos la región solución de la tercera inecuación.
1 Representamos la recta 
2 Consideramos un valor de
que no esté en la recta, por ejemplo
y lo sustituimos en la desigualdad

Como no se cumple la desigualdad la solución es el semiplano donde no se encuentra el valor 

d La solución es la intersección de las regiones soluciones.


a Representamos la región solución de la primera inecuación.
1 Transformamos la desigualdad en igualdad
2 Consideramos dos valores para la variable
, con lo que obtenemos dos puntos 

3 Al representar y unir estos puntos obtenemos una recta.
4 Tomamos un punto arbitrario que no esté en la recta, por ejemplo el
y lo sustituimos en la desigualdad. Si se cumple, la solución es el semiplano donde se encuentra el punto, si no la solución será el otro semiplano

Como se cumple la desigualdad, la solución es el semiplano que contiene al punto
incluida la recta

b Representamos la región solución de la segunda inecuación.
1 Transformamos la desigualdad en igualdad
2 Consideramos dos valores para la variable
, con lo que obtenemos dos puntos 

3 Tomamos un punto arbitrario que no esté en la recta, por ejemplo el
y lo sustituimos en la desigualdad

Como se cumple la desigualdad, la solución es el semiplano que contiene al punto
incluida la recta

c Representamos la región solución de la tercera inecuación.
1 Representamos la recta 
2 Consideramos un valor de
que no esté en la recta, por ejemplo
y lo sustituimos en la desigualdad

Como se cumple la desigualdad la solución es el semiplano donde se encuentra ell valor 

d La solución es la intersección de las regiones soluciones.


a Representamos la región solución de la primera inecuación.
1 Transformamos la desigualdad en igualdad
2 Consideramos dos valores para la variable
, con lo que obtenemos dos puntos 

3 Al representar y unir estos puntos obtenemos una recta.
4 Tomamos un punto arbitrario que no esté en la recta, por ejemplo el
y lo sustituimos en la desigualdad. Si se cumple, la solución es el semiplano donde se encuentra el punto, si no la solución será el otro semiplano

Como se cumple la desigualdad, la solución es el semiplano que contiene al punto
incluida la recta

b Representamos la región solución de la segunda inecuación.
1 Transformamos la desigualdad en igualdad
2 Consideramos dos valores para la variable
, con lo que obtenemos dos puntos 

3 Tomamos un punto arbitrario que no esté en la recta, por ejemplo el
y lo sustituimos en la desigualdad

Como se cumple la desigualdad, la solución es el semiplano que contiene al punto
incluida la recta

c Representamos la región solución de la tercera inecuación.
1 Representamos la recta 
2 Consideramos un valor de
que no esté en la recta, por ejemplo
y lo sustituimos en la desigualdad

Como no se cumple la desigualdad la solución es el semiplano donde no se encuentra el valor 

d La solución es la intersección de las regiones soluciones.

Sistemas de dos inecuaciones con una incógnita
Resolver los siguientes ejercicios de sistemas de inecuaciones lineales.

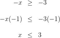
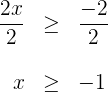
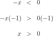
1 Resolvemos la primera inecuación
2Restamos
en ambos lados de la desigualdad y obtenemos

3 Para despejar
, dividimos entre
ambos lados de la desigualdad y obtenemos

4 Resolvemos la segunda inecuación, para lo cual restamos
en ambos lados de la desigualdad y obtenemos

5 Multiplicamos ambos lados de la desigualdad por
por lo que invertimos el símbolo de la desigualdad

6 Representamos gráficamente las soluciones

7 La solución del sistema de inecuaciones es la intersección de las dos soluciones, es decir todos los puntos que son comunes a ambas, esto es,


1 Resolvemos la primera inecuación
2Restamos
en ambos lados de la desigualdad y obtenemos

3 Para despejar
, dividimos entre
ambos lados de la desigualdad y obtenemos

4 Resolvemos la segunda inecuación, para lo cual restamos
en ambos lados de la desigualdad y obtenemos

5 Multiplicamos ambos lados de la desigualdad por
por lo que invertimos el símbolo de la desigualdad

6 Representamos gráficamente las soluciones

7 La solución del sistema de inecuaciones es la intersección de las dos soluciones, es decir todos los puntos que son comunes a ambas. Notamos que
es un punto que pertenece a la solución de la primera inecuación, pero no pertenece a la de la segunda, por tanto
es el extremo inferior del intervalo abierto solución


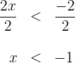
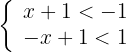
1 Resolvemos la primera inecuación
2Restamos
en ambos lados de la desigualdad y obtenemos

3 Para despejar
, dividimos entre
ambos lados de la desigualdad y obtenemos

4 Resolvemos la segunda inecuación, para lo cual restamos
en ambos lados de la desigualdad y obtenemos

5 Multiplicamos ambos lados de la desigualdad por
por lo que invertimos el símbolo de la desigualdad

6 Representamos gráficamente las soluciones

7 Observamos que no hay puntos comunes, por tanto la intersección entre los conjunto de las soluciones es
.

1 Resolvemos la primera inecuación
2Restamos
en ambos lados de la desigualdad y obtenemos

3 Resolvemos la segunda inecuación, para lo cual restamos
en ambos lados de la desigualdad y obtenemos

4 Multiplicamos ambos lados de la desigualdad por
por lo que invertimos el símbolo de la desigualdad

5 Representamos gráficamente las soluciones

6 Observamos que no hay puntos comunes, por tanto la intersección entre los conjunto de las soluciones es
.

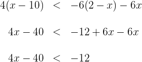
1 Resolvemos la primera inecuación, para lo cual realizamos las multiplicaciones y simplificamos las operaciones
2Restamos
y
en ambos lados de la desigualdad y obtenemos

3 Multiplicamos ambos lados de la desigualdad por
por lo que invertimos el símbolo de la desigualdad

4 Resolvemos la segunda inecuación, para lo cual realizamos las multiplicaciones y simplificamos las operaciones

5 Sumamos
en ambos lados de la desigualdad y obtenemos

6 Para despejar
, dividimos entre
ambos lados de la desigualdad y obtenemos

7 Representamos gráficamente las soluciones

8 La solución del sistema de inecuaciones es la intersección de las dos soluciones anteriores, es decir todos los puntos que son comunes a ambas. Notamos que
es un punto que pertenece a la solución de la primera inecuación, pero no pertenece a la de la segunda, por tanto
es el extremo superior del intervalo solución mientras que
es el extremo inferior

Resumir con IA:









Apuntes es una plataforma dirigida al estudio y la práctica de las matemáticas a través de la teoría y ejercicios interactivos que ponemos a vuestra disposición. Esta información está disponible para todo aquel/aquella que quiera profundizar en el aprendizaje de esta ciencia. Será un placer ayudaros en caso de que tengáis dudas frente algún problema, sin embargo, no realizamos un ejercicio que nos presentéis de 0 sin que hayáis si quiera intentado resolverlo. Ánimo, todo esfuerzo tiene su recompensa.
Ayúdame a resolver esto: una hamburguesa cuesta $5 y un gaseosa $2. Un cliente tiene máximo $20.¿Cuántas hamburguesas y gaseosas puede comprar?
✅ Datos
Precio de una hamburguesa = $5
Precio de una gaseosa = $2
Dinero máximo = $20
Buscamos todas las combinaciones posibles con:
5
ℎ
+
2
𝑔
≤
20
5h+2g≤20
donde h = hamburguesas (entero ≥ 0)
y g = gaseosas (entero ≥ 0)
✅ Probando cada cantidad de hamburguesas
Si compra 0 hamburguesas
Usa solo gaseosas:
$20 ÷ $2 = 10 gaseosas
➡ (0 hamburguesas, 10 gaseosas)
Si compra 1 hamburguesa
Costo hamburguesas: 1 × 5 = $5
Dinero restante: 20 – 5 = $15
Gaseosas: 15 ÷ 2 = 7.5 → solo se puede 7 gaseosas
➡ (1 hamburguesa, 7 gaseosas)
Si compra 2 hamburguesas
Costo: 2 × 5 = $10
Resto: 20 – 10 = $10
Gaseosas: 10 ÷ 2 = 5 gaseosas
➡ (2 hamburguesas, 5 gaseosas)
Si compra 3 hamburguesas
Costo: 3 × 5 = $15
Resto: 20 – 15 = $5
Gaseosas: 5 ÷ 2 = 2.5 → solo 2 gaseosas
➡ (3 hamburguesas, 2 gaseosas)
Si compra 4 hamburguesas
Costo: 4 × 5 = $20
Resto: 0
Gaseosas: 0
➡ (4 hamburguesas, 0 gaseosas)
Si compra 5 hamburguesas
5 × 5 = $25, eso pasa de $20 ❌ No se puede
✅ Todas las combinaciones válidas
Hamburguesas Gaseosas Total
0 10 0×5 + 10×2 = 20
1 7 1×5 + 7×2 = 19
2 5 2×5 + 5×2 = 20
3 2 3×5 + 2×2 = 19
4 0 4×5 + 0 = 20
✅ Estas son todas las combinaciones posibles con máximo $20.
3 hamburguesas y 2 gaseosas
En el ejercicio 9 de inecuaciones hay un error en el resultado, crec. Pone (-4,3) U (3,4) y creo que deberia ser (-4,-3)U(3,4). S no no lo comprendo.
Hola, fue un error nuestro discúlpanos ya se corrigió y gracias por tu ayuda.
48x+12>108
10(×+1)+<6(2×+1)