Escoge la solución correcta de cada una de las siguientes inecuaciones:

Selecciona una respuesta.
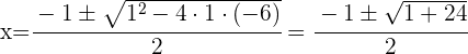
Igualamos el polinomio del primer miembro a cero y obtenemos las raíces de la ecuación de segundo grado.



Tenemos dos valores para
.
y
Representamos estos valores en la recta real.
Tomamos un punto de cada intervalo obtenido y evaluamos el signo en cada uno de estos intervalos:
![]()
Si
, entonces 


La solución está compuesta por el intervalo o los intervalos que tengan el mismo signo que el polinomio.
![]()
Por tanto, la solución es: 

Selecciona una respuesta.
Igualamos el polinomio del primer miembro a cero y obtenemos las raíces de la ecuación de segundo grado.



En este caso tenemos una raíz doble. Entonces, como
, o lo que es lo mismo
y todo número elevado al cuadrado es siempre positivo, entonces la inecuación no tiene solución.


Selecciona una respuesta.
Igualamos el polinomio del primer miembro a cero y obtenemos las raíces de la ecuación de segundo grado.



En este caso tenemos una raíz doble.
Entonces,
, o lo que es lo mismo

Como un número elevado al cuadrado es siempre positivo la solución de la inecuación
son todos los números reales menos la raíz de la ecuación de segundo grado.
Luego, 

Selecciona una respuesta.
Igualamos el polinomio del primer miembro a cero y obtenemos las raíces de la ecuación de segundo grado. 


En este caso tenemos una raíz doble.
Entonces,
, o lo que es lo mismo,
.
Como un número elevado al cuadrado siempre es positivo la solución de la inecuación
son todos los números reales.
Luego,


Selecciona una respuesta.
Pasando todos los términos al primer miembro de la inecuación obtenemos: 
Igualamos el polinomio del primer miembro a cero y obtenemos las raíces de la ecuación de segundo grado.



Tenemos dos valores para
.
y 
Representamos estos valores en la recta real. Tomamos un punto de cada intervalo obtenido y evaluamos el signo en cada uno de estos intervalos:
![]()



La solución está compuesta por el intervalo o los intervalos que tengan el mismo signo que el polinomio.
![]()
Por tanto, la solución es:
.

Selecciona una respuesta.
Igualamos el polinomio del primer miembro a cero y obtenemos las raíces de la ecuación de segundo grado.


Tenemos dos valores para
.
y 
Representamos estos valores en la recta real. Tomamos un punto de cada intervalo obtenido y evaluamos el signo en cada uno de estos intervalos:
![]()


La solución está compuesta por el intervalo o los intervalos que tengan el mismo signo que el polinomio.
![]()
Por tanto, la solución es:


Selecciona una respuesta.
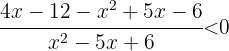
Pasando todos los términos al primer miembro de la inecuación obtenemos:

Igualamos el polinomio del primer miembro a cero y obtenemos las raíces de la ecuación de segundo grado.



En este caso tenemos una raíz doble, entonces:

Como un número elevado al caudrado siempre es mayor o igual que cero, la inecuación no tiene solución. Así 

Selecciona una respuesta.
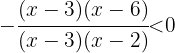
Pasando todos los términos al primer miembro de la inecuación obtenemos: 
Igualamos el polinomio del primer miembro a cero y obtenemos las raíces de la ecuación de segundo grado.



Tenemos dos valores para
.
y 
Representamos estos valores en la recta real. Tomamos un punto de cada intervalo obtenido y evaluamos el signo en cada uno de estos intervalos:
![]()

La solución está compuesta por el intervalo o los intervalos que tengan el mismo signo que el polinomio.
![]()
Por tanto, la solución es:
.

Selecciona una respuesta.
Pasamos el
al primer miembro, pasamos a común denominador la expresión resultante y efectuamos las operaciones:




Hallamos las raíces del numerador y del denominador:

Escogemos un punto de los tres intervalos que determinan las raíces del numerador y el denominador que son
y
y evaluamos el signo:



![]()
Como tenemos un mayor o igual en la inecuación original tendremos que tener en cuenta las raíces del numerador a la hora de dar la solución, es decir, el −9 forma parte de la solución final.
Hay que tener cuidado de excluir siempre las raíces del denominador, es decir, el −5 no forma parte de la solución final.
![]()


Selecciona una respuesta.
Pasamos el
al primer miembro, pasamos a común denominador la expresión resultante y efectuamos las operaciones:




Hallamos las raíces del numerador y del denominador: Numerador:



Tenemos dos valores para
.
y 
Denominador: 

Tenemos dos valores para
.
y 
Escogemos un punto de los cuatro intervalos que determinan las raíces del numerador y el denominador que son
y
y evaluamos el signo: 




![]()
Como tenemos un menor en la inecuación original no tendremos en cuenta las raíces del numerador.
![]()

Si tienes dudas puedes consultar la teoría
Resumir con IA:

Apuntes es una plataforma dirigida al estudio y la práctica de las matemáticas a través de la teoría y ejercicios interactivos que ponemos a vuestra disposición. Esta información está disponible para todo aquel/aquella que quiera profundizar en el aprendizaje de esta ciencia. Será un placer ayudaros en caso de que tengáis dudas frente algún problema, sin embargo, no realizamos un ejercicio que nos presentéis de 0 sin que hayáis si quiera intentado resolverlo. Ánimo, todo esfuerzo tiene su recompensa.
Ayúdame a resolver esto: una hamburguesa cuesta $5 y un gaseosa $2. Un cliente tiene máximo $20.¿Cuántas hamburguesas y gaseosas puede comprar?
✅ Datos
Precio de una hamburguesa = $5
Precio de una gaseosa = $2
Dinero máximo = $20
Buscamos todas las combinaciones posibles con:
5
ℎ
+
2
𝑔
≤
20
5h+2g≤20
donde h = hamburguesas (entero ≥ 0)
y g = gaseosas (entero ≥ 0)
✅ Probando cada cantidad de hamburguesas
Si compra 0 hamburguesas
Usa solo gaseosas:
$20 ÷ $2 = 10 gaseosas
➡ (0 hamburguesas, 10 gaseosas)
Si compra 1 hamburguesa
Costo hamburguesas: 1 × 5 = $5
Dinero restante: 20 – 5 = $15
Gaseosas: 15 ÷ 2 = 7.5 → solo se puede 7 gaseosas
➡ (1 hamburguesa, 7 gaseosas)
Si compra 2 hamburguesas
Costo: 2 × 5 = $10
Resto: 20 – 10 = $10
Gaseosas: 10 ÷ 2 = 5 gaseosas
➡ (2 hamburguesas, 5 gaseosas)
Si compra 3 hamburguesas
Costo: 3 × 5 = $15
Resto: 20 – 15 = $5
Gaseosas: 5 ÷ 2 = 2.5 → solo 2 gaseosas
➡ (3 hamburguesas, 2 gaseosas)
Si compra 4 hamburguesas
Costo: 4 × 5 = $20
Resto: 0
Gaseosas: 0
➡ (4 hamburguesas, 0 gaseosas)
Si compra 5 hamburguesas
5 × 5 = $25, eso pasa de $20 ❌ No se puede
✅ Todas las combinaciones válidas
Hamburguesas Gaseosas Total
0 10 0×5 + 10×2 = 20
1 7 1×5 + 7×2 = 19
2 5 2×5 + 5×2 = 20
3 2 3×5 + 2×2 = 19
4 0 4×5 + 0 = 20
✅ Estas son todas las combinaciones posibles con máximo $20.
3 hamburguesas y 2 gaseosas
En el ejercicio 9 de inecuaciones hay un error en el resultado, crec. Pone (-4,3) U (3,4) y creo que deberia ser (-4,-3)U(3,4). S no no lo comprendo.
Hola, fue un error nuestro discúlpanos ya se corrigió y gracias por tu ayuda.
48x+12>108
10(×+1)+<6(2×+1)