Escoge la opción correcta:
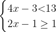
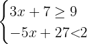
La solución del sistema de inecuaciones
es...
Selecciona una respuesta.
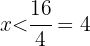
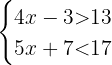
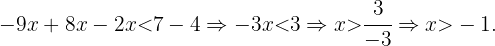
De la primera inecuación



De la segunda inecuación




Por lo tanto, la solución al sistema de inecuaciones es
, que en forma de intervalos podría escribirse como 
La solución como intervalo del sistema de inecuaciones
es...
Selecciona una respuesta.
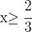
De la primera inecuación

De la segunda inecuación




Por lo tanto, la solución al sistema de inecuaciones es
, que en forma de intervalos podría escribirse como 
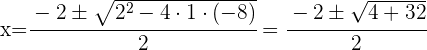
La solución de la ecuación del sistema de inecuaciones
es...
Selecciona una respuesta.
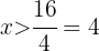
De la primera inecuación



De la segunda inecuación




Por tanto, el sistema no tiene solución, ya que la intersección de las soluciones de la inecuación es vacía.
La solución como intervalo del sistema de inecuaciones
es...
Selecciona una respuesta.
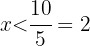
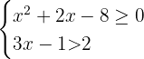
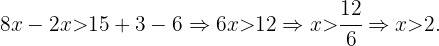
De la primera inecuación

Igualamos a cero y buscamos las soluciones la ecuación de segundo orden 

Tenemos dos soluciones que son
y 
De la segunda inecuación




Por lo tanto, la solución al sistema de inecuaciones es
, que en forma de intervalos podría escribirse como

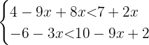
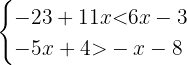
La solución como intervalo del sistema de inecuaciones
es...
Selecciona una respuesta.
De la primera inecuación

De la segunda inecuación

El conjunto solución es la intersección de ambos intervalos, por lo tanto es

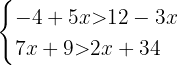
La solución como intervalo del sistema de inecuaciones
es...
Selecciona una respuesta.
De la primera inecuación

De la segunda inecuación 
El conjunto solución es la intersección de ambos intervalos, por lo tanto es 
La solución como intervalo del sistema de inecuaciones
es...
Selecciona una respuesta.
De la primera inecuación
De la segunda inecuación
El conjunto solución es la intersección de ambos intervalos, por lo tanto es 
La solución como intervalo del sistema de inecuaciones
es...
Selecciona una respuesta.
De la primera inecuación
De la segunda inecuación
Al no tener intersección de ambos intervalos no hay solución.
Resumir con IA:

Apuntes es una plataforma dirigida al estudio y la práctica de las matemáticas a través de la teoría y ejercicios interactivos que ponemos a vuestra disposición. Esta información está disponible para todo aquel/aquella que quiera profundizar en el aprendizaje de esta ciencia. Será un placer ayudaros en caso de que tengáis dudas frente algún problema, sin embargo, no realizamos un ejercicio que nos presentéis de 0 sin que hayáis si quiera intentado resolverlo. Ánimo, todo esfuerzo tiene su recompensa.
Ayúdame a resolver esto: una hamburguesa cuesta $5 y un gaseosa $2. Un cliente tiene máximo $20.¿Cuántas hamburguesas y gaseosas puede comprar?
✅ Datos
Precio de una hamburguesa = $5
Precio de una gaseosa = $2
Dinero máximo = $20
Buscamos todas las combinaciones posibles con:
5
ℎ
+
2
𝑔
≤
20
5h+2g≤20
donde h = hamburguesas (entero ≥ 0)
y g = gaseosas (entero ≥ 0)
✅ Probando cada cantidad de hamburguesas
Si compra 0 hamburguesas
Usa solo gaseosas:
$20 ÷ $2 = 10 gaseosas
➡ (0 hamburguesas, 10 gaseosas)
Si compra 1 hamburguesa
Costo hamburguesas: 1 × 5 = $5
Dinero restante: 20 – 5 = $15
Gaseosas: 15 ÷ 2 = 7.5 → solo se puede 7 gaseosas
➡ (1 hamburguesa, 7 gaseosas)
Si compra 2 hamburguesas
Costo: 2 × 5 = $10
Resto: 20 – 10 = $10
Gaseosas: 10 ÷ 2 = 5 gaseosas
➡ (2 hamburguesas, 5 gaseosas)
Si compra 3 hamburguesas
Costo: 3 × 5 = $15
Resto: 20 – 15 = $5
Gaseosas: 5 ÷ 2 = 2.5 → solo 2 gaseosas
➡ (3 hamburguesas, 2 gaseosas)
Si compra 4 hamburguesas
Costo: 4 × 5 = $20
Resto: 0
Gaseosas: 0
➡ (4 hamburguesas, 0 gaseosas)
Si compra 5 hamburguesas
5 × 5 = $25, eso pasa de $20 ❌ No se puede
✅ Todas las combinaciones válidas
Hamburguesas Gaseosas Total
0 10 0×5 + 10×2 = 20
1 7 1×5 + 7×2 = 19
2 5 2×5 + 5×2 = 20
3 2 3×5 + 2×2 = 19
4 0 4×5 + 0 = 20
✅ Estas son todas las combinaciones posibles con máximo $20.
3 hamburguesas y 2 gaseosas
En el ejercicio 9 de inecuaciones hay un error en el resultado, crec. Pone (-4,3) U (3,4) y creo que deberia ser (-4,-3)U(3,4). S no no lo comprendo.
Hola, fue un error nuestro discúlpanos ya se corrigió y gracias por tu ayuda.
48x+12>108
10(×+1)+<6(2×+1)