Encuentra los intervalos solución para las siguientes inecuaciones


1 Hallamos las raíces del numerador y del denominador.


2 La recta real se divide en los siguientes intervalos, teniendo en cuenta que las raíces del denominador, independientemente del signo de la desigualdad, tienen que ser abiertas

3 Tomamos un punto de cada intervalo, evaluamos en la inecuación inicial y observamos el signo en cada intervalo:




4 La solución está compuesta por los intervalos (o el intervalo) que tengan el mismo signo que la fracción polinómica

El 0 está abierto porque es una raíz del denominador y no puede ser cero


1 Resolvemos la inecuación dejando cero en el lado derecho y hallamos las raíces del numerador y del denominador.


2 La recta real se divide en los siguientes intervalos, teniendo en cuenta que las raíces del denominador, independientemente del signo de la desigualdad, tienen que ser abiertas

3 Tomamos un punto de cada intervalo, evaluamos en la inecuación inicial y observamos el signo en cada intervalo:



4 La solución está compuesta por los intervalos (o el intervalo) que tengan el mismo signo que la fracción polinómica

El 4 está abierto porque es una raíz del denominador y no puede ser cero


1 Hallamos las raíces del numerador y del denominador.


2 Representamos estos valores en la recta real, teniendo en cuenta que las raíces del denominador, independientemente del signo de la desigualdad, tienen que ser abiertas

3 Tomamos un punto de cada intervalo, evaluamos en la inecuación obtenida en 1 y observamos el signo en cada intervalo:




4 La solución está compuesta por los intervalos (o el intervalo) que tengan el mismo signo que la fracción polinómica

El 4 está abierto porque es una raíz del denominador y no puede ser cero


1 Resolvemos la inecuación dejando cero en el lado derecho y hallamos las raíces del numerador y del denominador.


2 La recta real se divide en los siguientes intervalos, teniendo en cuenta que las raíces del denominador, independientemente del signo de la desigualdad, tienen que ser abiertas

3 Tomamos un punto de cada intervalo, evaluamos en la inecuación obtenida en 1 y observamos el signo en cada intervalo:



4 La solución está compuesta por los intervalos (o el intervalo) que tengan el mismo signo que la fracción polinómica

El 4 está abierto porque es una raíz del denominador y no puede ser cero

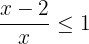
1 Hallamos las raíces del numerador y del denominador


2 Sustituimos un representante de cada uno de los intervalos 




3 La solución está compuesta por los intervalos (o el intervalo) que tengan el mismo signo que la fracción polinómica



1 Pasamos el -2 al primer miembro, ponemos un común denominador y obtenemos

2 Hallamos las raíces del numerador y del denominador


3 Sustituimos un representante de cada uno de los intervalos 




4 La solución está compuesta por los intervalos (o el intervalo) que tengan el mismo signo que la fracción polinómica



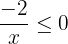
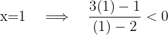
1 Pasamos el 2 al primer miembro, ponemos un común denominador y obtenemos

2 Hallamos las raíces del numerador y del denominador


3 Sustituimos un representante de cada uno de los intervalos 



![]()
4 La solución está compuesta por los intervalos (o el intervalo) que tengan el mismo signo que la fracción polinómica



1 El numerador siempre es positivo, por lo cual no tiene raíz real. Hallamos la raíz del denominador

2 Cuando
, el denominador no se puede anular porque no existe una fracción con denominador
, por lo que el denominador de la inecuación original será equivalente a:

3 Sustituimos un representante de cada uno de los intervalos 




4 La solución está compuesta por los intervalos (o el intervalo) que tengan el mismo signo que la fracción polinómica



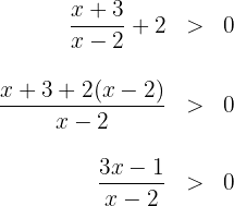
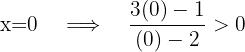
1Hallamos las raíces del numerador y del denominador


2 Cuando
, el denominador no se puede anular porque no existe una fracción con denominador
. Además el denominador se puede factorizar, por lo que el denominador de la inecuación original será equivalente a:

3 Sustituimos un representante de cada uno de los intervalos
en el numerador de la inecuación inicial



Como el denominador siempre es negativo, obtenemos
![]()
4 La solución está compuesta por los intervalos (o el intervalo) que tengan el mismo signo que la fracción polinómica


4
1 Hallamos las raíces del numerador y del denominador


2 Cuando
, el denominador no se puede anular porque no existe una fracción con denominador
, por lo que el denominador de la inecuación original será equivalente a:

3 Sustituimos un representante de cada uno de los intervalos 





![]()
4 La solución está compuesta por los intervalos (o el intervalo) que tengan el mismo signo que la fracción polinómica

Resumir con IA:

Apuntes es una plataforma dirigida al estudio y la práctica de las matemáticas a través de la teoría y ejercicios interactivos que ponemos a vuestra disposición. Esta información está disponible para todo aquel/aquella que quiera profundizar en el aprendizaje de esta ciencia. Será un placer ayudaros en caso de que tengáis dudas frente algún problema, sin embargo, no realizamos un ejercicio que nos presentéis de 0 sin que hayáis si quiera intentado resolverlo. Ánimo, todo esfuerzo tiene su recompensa.
Ayúdame a resolver esto: una hamburguesa cuesta $5 y un gaseosa $2. Un cliente tiene máximo $20.¿Cuántas hamburguesas y gaseosas puede comprar?
✅ Datos
Precio de una hamburguesa = $5
Precio de una gaseosa = $2
Dinero máximo = $20
Buscamos todas las combinaciones posibles con:
5
ℎ
+
2
𝑔
≤
20
5h+2g≤20
donde h = hamburguesas (entero ≥ 0)
y g = gaseosas (entero ≥ 0)
✅ Probando cada cantidad de hamburguesas
Si compra 0 hamburguesas
Usa solo gaseosas:
$20 ÷ $2 = 10 gaseosas
➡ (0 hamburguesas, 10 gaseosas)
Si compra 1 hamburguesa
Costo hamburguesas: 1 × 5 = $5
Dinero restante: 20 – 5 = $15
Gaseosas: 15 ÷ 2 = 7.5 → solo se puede 7 gaseosas
➡ (1 hamburguesa, 7 gaseosas)
Si compra 2 hamburguesas
Costo: 2 × 5 = $10
Resto: 20 – 10 = $10
Gaseosas: 10 ÷ 2 = 5 gaseosas
➡ (2 hamburguesas, 5 gaseosas)
Si compra 3 hamburguesas
Costo: 3 × 5 = $15
Resto: 20 – 15 = $5
Gaseosas: 5 ÷ 2 = 2.5 → solo 2 gaseosas
➡ (3 hamburguesas, 2 gaseosas)
Si compra 4 hamburguesas
Costo: 4 × 5 = $20
Resto: 0
Gaseosas: 0
➡ (4 hamburguesas, 0 gaseosas)
Si compra 5 hamburguesas
5 × 5 = $25, eso pasa de $20 ❌ No se puede
✅ Todas las combinaciones válidas
Hamburguesas Gaseosas Total
0 10 0×5 + 10×2 = 20
1 7 1×5 + 7×2 = 19
2 5 2×5 + 5×2 = 20
3 2 3×5 + 2×2 = 19
4 0 4×5 + 0 = 20
✅ Estas son todas las combinaciones posibles con máximo $20.
3 hamburguesas y 2 gaseosas
En el ejercicio 9 de inecuaciones hay un error en el resultado, crec. Pone (-4,3) U (3,4) y creo que deberia ser (-4,-3)U(3,4). S no no lo comprendo.
Hola, fue un error nuestro discúlpanos ya se corrigió y gracias por tu ayuda.
48x+12>108
10(×+1)+<6(2×+1)