¡Bienvenido a nuestros ejercicios interactivos sobre cuarto, medio y tercer proporcional! Estos conceptos son fundamentales en matemáticas y se aplican en una variedad de situaciones, desde problemas de proporciones simples hasta cálculos más avanzados en áreas como la geometría y la trigonometría.
El cuarto proporcional es aquel número que se obtiene al comparar tres cantidades proporcionales y encontrar una cuarta cantidad que guarde la misma relación con la tercera que la segunda guarda con la primera. Por otro lado, el medio proporcional es un término que, junto con dos números dados, forma una proporción geométrica, y el tercer proporcional es un número que, junto con dos números dados, forma una proporción aritmética.
En los siguientes ejercicios calcula el cuarto proporcional:
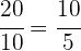
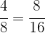
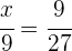
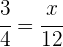
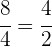
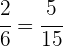
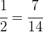
| 1 | ![]() | = | |
![]() | ![]() |
Primero, reescribimos la igualdad:
.
Despejamos
:
.
Por lo tanto la igualdad de fracciones es la siguiente es la siguiente:
.
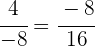
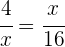
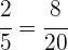
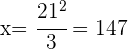
| 2 | ![]() | = | ![]() |
![]() |
Primero, reescribimos la igualdad:
.
Después, despejamos
:
.
Por lo tanto la igualdad de fracciones es la siguiente es la siguiente:
.
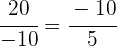
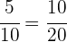
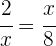
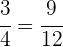
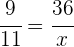
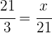
| 3 | = | ![]() | |
![]() | ![]() |
Primero, reescribimos la igualdad:
.
Después, despejamos
:
.
Por lo tanto la igualdad de fracciones es la siguiente es la siguiente:
.
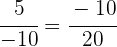
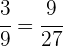
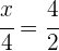
| 4 | ![]() | = | ![]() |
![]() |
Primero, reescribimos la igualdad:
.
Después, despejamos
:
.
Por lo tanto la igualdad de fracciones es la siguiente es la siguiente:
.
| 5 | ![]() | = | ![]() |
![]() |
Primero, reescribimos la igualdad:
.
Después, despejamos
:
.
Por lo tanto la igualdad de fracciones es la siguiente es la siguiente:
.
En los siguientes ejercicios calcula el medio proporcional:
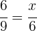
| 6 | ![]() | = | ![]() |
![]() | ![]() |

Primero, reescribimos la igualdad:
.
Después, despejamos
:
.
Por lo tanto la igualdad de fracciones es la siguiente es alguna de las siguientes:


| 7 | ![]() | = | ![]() |
![]() | ![]() |

Primero, reescribimos la igualdad:
.
Después, despejamos
:
.
Por lo tanto la igualdad de fracciones es la siguiente es alguna de las siguientes:


| 8 | ![]() | = | ![]() |
![]() | ![]() |

Primero, reescribimos la igualdad:
.
Después, despejamos
:
.
Por lo tanto la igualdad de fracciones es la siguiente es alguna de las siguientes:


| 9 | ![]() | = | ![]() |
![]() | ![]() |

Primero, reescribimos la igualdad:
.
Después, despejamos
:
.
Por lo tanto la igualdad de fracciones es la siguiente es alguna de las siguientes:


| 10 | ![]() | = | ![]() |
![]() | ![]() |

Primero, reescribimos la igualdad:
.
Después, despejamos
:
.
Por lo tanto la igualdad de fracciones es la siguiente es alguna de las siguientes:


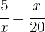
En los siguientes ejercicios calcula el tercio proporcional:
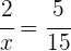
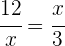
| 11 | = | ![]() | |
![]() | ![]() |
Primero, reescribimos la igualdad:
.
Después, despejamos
:
.
Por lo tanto la igualdad de fracciones es la siguiente es la siguiente:
.
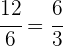
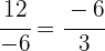
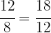
| 12 | = | ![]() | |
![]() | ![]() |
Primero, reescribimos la igualdad:
.
Después, despejamos
:
.
Por lo tanto la igualdad de fracciones es la siguiente es la siguiente:
.
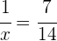
| 13 | ![]() | = | |
![]() | ![]() |
Primero, reescribimos la igualdad:
.
Después, despejamos
:
.
Por lo tanto la igualdad de fracciones es la siguiente es la siguiente:
.
| 14 | ![]() | = | |
![]() | ![]() |
Primero, reescribimos la igualdad:
.
Después, despejamos
:
.
Por lo tanto la igualdad de fracciones es la siguiente es la siguiente:
.
| 15 | ![]() | = | |
![]() | ![]() |
Primero, reescribimos la igualdad:
.
Después, despejamos
:
.
Por lo tanto la igualdad de fracciones es la siguiente es la siguiente:
.
Si tienes dudas puedes consultar la teoría



















Apuntes es una plataforma dirigida al estudio y la práctica de las matemáticas a través de la teoría y ejercicios interactivos que ponemos a vuestra disposición. Esta información está disponible para todo aquel/aquella que quiera profundizar en el aprendizaje de esta ciencia. Será un placer ayudaros en caso de que tengáis dudas frente algún problema, sin embargo, no realizamos un ejercicio que nos presentéis de 0 sin que hayáis si quiera intentado resolverlo. Ánimo, todo esfuerzo tiene su recompensa.
Cuánto se debe depositar cada fin de semestre si usted quiere acumular Bs 10000 al cabo de 4 años conociendo que la entidad financiera reconoce un interés del 12% anual
La numero 7 la respuesta sare de verded y la el numero es que sale de rojo
Hola, si tienes razón y vamos a trabajar en ello, te agradecemos.
esta mal la mayoria de ejercicios la cual se confunde en el mismo ejercicios ep e ip
Hola puedes hacernos el favor de mencionar los ejercicios que están mal para poder corregirlos y así evitar confusiones.
Buenos días, el ejercicio 1 está mal si la relación fuera directa entre las variables que no lo e como muestra ahí daría 400kg. La respuesta para mí es que: la relación de las variables es indirecta lo que no sé cómo llega a los 25000. No llego a ese número.
La empresa A1 tal pone en la bolsa de valores $134 acciones por 130 c/u para mantenerlas 3 años
La empresa A2 las compra y las pone nuevamente en la bolsa de valores a un interes simple de 30% por los 3 años
La tercera empresa compra estas acciones por 5 años
Durante el primer semestre la empresa A2 ve que las acciones compradas bajan a $100 podría resolverlo con las cuentas
Hola tu razonamiento es correcto si a mayor tamaño de la rueda, mas vueltas da, pero no es así, pues las ruedas grandes dan menos vueltas que las ruedas pequeñas, por eso se usa razones inversamente proporcionales.