Los/las mejores profesores/as de Matemáticas que están disponibles
¿Qué es un reparto directamente proporcional?
Un reparto directamente proporcional consiste en que dadas unas magnitudes de un mismo tipo y una magnitud total, calcular la parte correspondiente a cada una de las magnitudes dadas

Ejemplo de reparto directamente proporcional
Un abuelo reparte 450 € entre sus tres nietos de 8, 12 y 16 años de edad; proporcionalmente a sus edades. ¿Cuánto corresponde a cada uno?
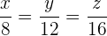
1Llamamos
a las cantidades que le corresponde a cada uno.
2El reparto proporcional es:

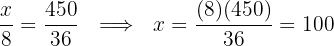
3Por la propiedad de las razones iguales:

4Cada nieto recibirá:



Resumir con IA:









Apuntes es una plataforma dirigida al estudio y la práctica de las matemáticas a través de la teoría y ejercicios interactivos que ponemos a vuestra disposición. Esta información está disponible para todo aquel/aquella que quiera profundizar en el aprendizaje de esta ciencia. Será un placer ayudaros en caso de que tengáis dudas frente algún problema, sin embargo, no realizamos un ejercicio que nos presentéis de 0 sin que hayáis si quiera intentado resolverlo. Ánimo, todo esfuerzo tiene su recompensa.
asumo que en el ejercicio 19, donde pone comparado se refiera a comprado
Hola excelente observación, una disculpa ya se corrigió.
me parece muy bien que esten las correcciones pero mis niños se copian y le dan a intentar otra vez y entonces no les puedo poner nota
Hola, que bueno que utilices nuestro material y te sirva de apoyo, en cuanto a tu comentario podríamos no poner las correcciones pero otros usuarios se quejarían de que no las pongamos, lo cual crea un dilema complicado de resolver, entonces se opto por que si aparezcan, porque ayuda más a los usuarios a aprender.
en la numero dos, el desarrollo, junto con la respuesta esta mal, ya que no se esta contemplando el factor tiempo, que claramente se ve al principio de la formula
Hola si te refieres al problema de pintar una casa, entendemos que no parezca clara esta técnica, también se puede platear de la siguiente forma, por 25 horas de trabajo se paga 500 euros, y resolver el problema en dos casos, cuanto equivale 10 horas y después 15 horas en euros, obteniendo los mismos resultados.
Mediante qué método comparativo y didáctico o mediante qué fórmula puedo establecer a partir de qué momento la tasa de incremento es mayor al porcentaje de la tarifa de cobro autorizada y, por consiguiente que ese incremento puede convertirse en enriquecimiento sin causa, por ejemplo: incremento de canon de arrendamiento cuando se valoriza un inmueble o el incremento del impuesto sobre inmuebles cuando aumenta su avalúo frente a la tarifa fijada antes del aumento del avalúo?
Hola, si tienes razón y vamos a trabajar en ello, te agradecemos.