¿Qué es un porcentaje?
Un porcentaje es un tipo de regla de tres directa en el que una de las cantidades es 100.
Ejemplos resueltos de problemas de porcentajes
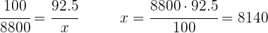
1Una moto cuyo precio era de
, cuesta en la actualidad
más. ¿Cuál es el porcentaje de aumento?


El porcentaje de aumento es del
.
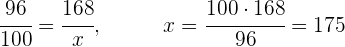
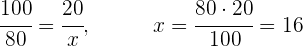
2Al adquirir un vehículo cuyo precio es de
, nos hacen un descuento del
. ¿Cuánto hay que pagar por el vehículo?



También se puede calcular directamente del siguiente modo:
Hay un descuento del
, es decir, de cada
pagamos
menos, por tanto en vez de los
pagamos 


Directamente en los descuentos podemos aplicar esta fórmula

3El precio de un ordenador es de
sin IVA. ¿Cuánto hay que pagar por él si el IVA es del
?
Debido al IVA hay un recargo del
, es decir, de cada
pagamos
más, por tanto en vez de los
pagamos 


Directamente en los incrementos podemos aplicar esta fórmula, aunque preferimos trabajar con las proporciones

4¿
es el
menos de?
es el
menos de cierto número
entonces
representa el
, así:

El número que buscamos es 
5Carlos recibió una herencia de
millones. Gastó el
y regaló a su hermana el
de lo que le quedó. Los millones con los que al final quedó Carlos son:
de
millones es:

La cantidad que gastó Carlos es
millones. De esta forma antes de regalarle dinero a su hermana, Carlos tenía
millones. Dado que Carlos regala el
de
millones entonces tenemos

Es decir, Carlos le regala
millones a su hermana. Por lo tanto al final Carlos queda
con
millones.
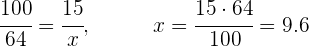
6Al pagar una factura de
me dieron un descuento de un
. El valor más aproximado que tuve que pagar es:
y luego dicho valor lo restamos del costo de la factura. Aplicamos la regla de tres para saber el valor del

Restando este último valor del costo inicial de la factura, podemos concluir que al final se paga
.









Apuntes es una plataforma dirigida al estudio y la práctica de las matemáticas a través de la teoría y ejercicios interactivos que ponemos a vuestra disposición. Esta información está disponible para todo aquel/aquella que quiera profundizar en el aprendizaje de esta ciencia. Será un placer ayudaros en caso de que tengáis dudas frente algún problema, sin embargo, no realizamos un ejercicio que nos presentéis de 0 sin que hayáis si quiera intentado resolverlo. Ánimo, todo esfuerzo tiene su recompensa.
Cuánto se debe depositar cada fin de semestre si usted quiere acumular Bs 10000 al cabo de 4 años conociendo que la entidad financiera reconoce un interés del 12% anual
La numero 7 la respuesta sare de verded y la el numero es que sale de rojo
Hola, si tienes razón y vamos a trabajar en ello, te agradecemos.
esta mal la mayoria de ejercicios la cual se confunde en el mismo ejercicios ep e ip
Hola puedes hacernos el favor de mencionar los ejercicios que están mal para poder corregirlos y así evitar confusiones.
Buenos días, el ejercicio 1 está mal si la relación fuera directa entre las variables que no lo e como muestra ahí daría 400kg. La respuesta para mí es que: la relación de las variables es indirecta lo que no sé cómo llega a los 25000. No llego a ese número.
La empresa A1 tal pone en la bolsa de valores $134 acciones por 130 c/u para mantenerlas 3 años
La empresa A2 las compra y las pone nuevamente en la bolsa de valores a un interes simple de 30% por los 3 años
La tercera empresa compra estas acciones por 5 años
Durante el primer semestre la empresa A2 ve que las acciones compradas bajan a $100 podría resolverlo con las cuentas
Hola tu razonamiento es correcto si a mayor tamaño de la rueda, mas vueltas da, pero no es así, pues las ruedas grandes dan menos vueltas que las ruedas pequeñas, por eso se usa razones inversamente proporcionales.