¿Qué es de la regla de tres inversa?
La regla de tres simple e inversa consiste en una relación de cantidades con proporcionalidad inversa, que se da cuando dadas dos cantidades correspondientes a magnitudes inversamente proporcionales, se debe calcular la cantidad de una de estas magnitudes correspondiente a una cantidad dada de la otra magnitud.

La regla de tres inversa la aplicaremos cuando entre las magnitudes se establecen las relaciones:
A más
menos.
A menos
más.
Es decir, cuando una magnitud aumenta disminuye la otra.
Ejemplos de la regla de tres simple e inversa
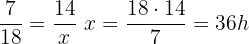
1 Un grifo que mana
l de agua por minuto tarda
horas en llenar un depósito. ¿Cuánto tardaría si su caudal fuera de
l por minuto?
Son magnitudes inversamente proporcionales, ya que a menos litros por minuto tardará más en llenar el depósito.
Solución:
l/min
h
l/min
h

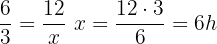
2 3 obreros construyen un muro en
horas, ¿cuánto tardarán en construirlo
obreros?
Son magnitudes inversamente proporcionales, ya que a más obreros tardarán menos horas.
Solución:
obreros
h
obreros
h

Resumir con IA:

Apuntes es una plataforma dirigida al estudio y la práctica de las matemáticas a través de la teoría y ejercicios interactivos que ponemos a vuestra disposición. Esta información está disponible para todo aquel/aquella que quiera profundizar en el aprendizaje de esta ciencia. Será un placer ayudaros en caso de que tengáis dudas frente algún problema, sin embargo, no realizamos un ejercicio que nos presentéis de 0 sin que hayáis si quiera intentado resolverlo. Ánimo, todo esfuerzo tiene su recompensa.
en la numero dos, el desarrollo, junto con la respuesta esta mal, ya que no se esta contemplando el factor tiempo, que claramente se ve al principio de la formula
Hola si te refieres al problema de pintar una casa, entendemos que no parezca clara esta técnica, también se puede platear de la siguiente forma, por 25 horas de trabajo se paga 500 euros, y resolver el problema en dos casos, cuanto equivale 10 horas y después 15 horas en euros, obteniendo los mismos resultados.
Cuánto se debe depositar cada fin de semestre si usted quiere acumular Bs 10000 al cabo de 4 años conociendo que la entidad financiera reconoce un interés del 12% anual
La numero 7 la respuesta sare de verded y la el numero es que sale de rojo
Mediante qué método comparativo y didáctico o mediante qué fórmula puedo establecer a partir de qué momento la tasa de incremento es mayor al porcentaje de la tarifa de cobro autorizada y, por consiguiente que ese incremento puede convertirse en enriquecimiento sin causa, por ejemplo: incremento de canon de arrendamiento cuando se valoriza un inmueble o el incremento del impuesto sobre inmuebles cuando aumenta su avalúo frente a la tarifa fijada antes del aumento del avalúo?
Hola, si tienes razón y vamos a trabajar en ello, te agradecemos.
esta mal la mayoria de ejercicios la cual se confunde en el mismo ejercicios ep e ip
Hola puedes hacernos el favor de mencionar los ejercicios que están mal para poder corregirlos y así evitar confusiones.
Hola tu razonamiento es correcto si a mayor tamaño de la rueda, mas vueltas da, pero no es así, pues las ruedas grandes dan menos vueltas que las ruedas pequeñas, por eso se usa razones inversamente proporcionales.