En esta sección, exploraremos diversos problemas resueltos relacionados con la proporcionalidad. Estos problemas están diseñados para ilustrar cómo identificar y aplicar las relaciones proporcionales en distintos contextos. A través de ejemplos prácticos y explicaciones detalladas, abordaremos cómo resolver problemas de proporcionalidad utilizando métodos y técnicas efectivas.
Calcular el término desconocido de la siguiente proporción

En una proporción el producto de los medios es igual al producto de los extremos


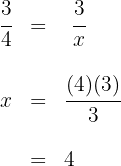
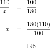
Calcular el término desconocido de la siguiente proporción

En una proporción el producto de los medios es igual al producto de los extremos


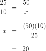
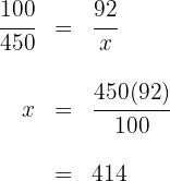
Calcular el término desconocido de la siguiente proporción

En una proporción el producto de los medios es igual al producto de los extremos


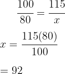
Calcular el término desconocido de la siguiente proporción

En una proporción el producto de los medios es igual al producto de los extremos


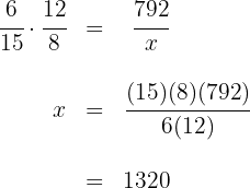
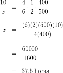
Calcular el término desconocido de la siguiente proporción

En una proporción el producto de los medios es igual al producto de los extremos


Dos ruedas están unidas por una correa transmisora. La primera tiene un radio de 25 cm y la segunda de 75 cm. Cuando la primera ha dado 300 vueltas, ¿cuántas vueltas habrá dado la segunda?
Son magnitudes inversamente proporcionales, ya que a más radio dará menos vueltas
vueltas
vueltas
Entonces tenemos la siguiente regla de proporción inversa

Dos engranajees se encuentran sincronizados entre si. El primero tiene 25 dientes y el segundo 10. Cuando el segundo engranaje haya dado 50 vueltas, ¿cuántas vueltas habrá dado el primero?
Son magnitudes inversamente proporcionales, ya que a menos dientes dará más vueltas


Entonces tenemos la siguiente regla de proporción inversa

Cuatro personas cocinan 50 platillos en 3 horas. Si una de las personas se enferma, ¿cuánto tiempo le llevara a las tres personas preparar los 50 platillos?
A menos personas más tiempo, entonces es una proporción indirecta


Entonces tenemos la siguiente regla de proporción indirecta

Seis personas pueden vivir en un hotel durante 12 días por 792 €. ¿Cuánto costará el hotel de 15 personas durante ocho días?
A más personas más dinero, entonces es una proporción directa
A más días más dinero, entonces es una proporción directa
€
€
Entonces tenemos la siguiente regla de proporción directa

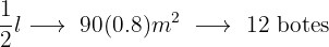
Si con 12 botes de
de pintura cada uno se han pintado 90m de verja de 80 cm de altura. Calcular cuántos botes de
de pintura serán necesarios para pintar una verja similar de
de altura y
de longitud.
A más kilos de pintura menos botes, entonces es una proporción inversa
A más
más botes, entonces es una proporción directa


Entonces tenemos la siguiente regla de proporción

obreros labran un campo rectangular de
de largo y
de ancho en
días. ¿Cuántos obreros serán necesarios para labrar otro campo análogo de
de largo por
de ancho en cinco días?
A más superficie más obreros, entonces es una proporción directa
A más días menos obreros, entonces es una proporción inversa.


Entonces tenemos la siguiente regla de proporción

Seis grifos, tardan
horas en llenar un depósito de
de capacidad. ¿Cuántas horas tardarán cuatro grifos en llenar
depósitos de
cada uno?
A más grifos menos horas, entonces es una proporción inversa.
A más depósitos más horas, entonces es una proporción directa.
A más
más horas, entonces es una proporción directa.


Entonces tenemos la siguiente regla de proporción

De los
alumnos de un colegio, han ido de viaje
. ¿Qué porcentaje de alumnos ha ido de viaje?
Aplicaremos la proporción directa


Entonces tenemos la siguiente regla de proporción

Al adquirir un vehículo cuyo precio es de
€, nos hacen un descuento del
%. ¿Cuánto hay que pagar por el vehículo?
Comenzamos por hacer la siguiente operación de proporción
€
€
€ 
Entonces tenemos la siguiente regla de proporción

€ -
€
€
También se puede calcular directamente del siguiente modo:
Hay un descuento del
%, es decir, de cada
€ pagamos
€ menos, por tanto en vez de los
€ pagamos
€.
€
€
€ 
Entonces tenemos la siguiente regla de proporción

El precio de un ordenador es de
€ sin IVA. ¿Cuánto hay que pagar por él si el IVA es del
%?
Debido al IVA hay un recargo del
%, es decir, de cada
€ pagamos
más, por tanto en vez de los
€ pagamos 
€
€
€
€
Entonces tenemos la siguiente regla de proporción
€
Al comprar un monitor que cuesta
€ nos hacen un descuento del
. ¿Cuánto tenemos que pagar?
Hay un descuento de
%, es decir, de cada
€ pagamos
€ menos, por tanto en vez de los
€ pagamos pagamos
€.
€
€
€ 
Entonces tenemos la siguiente regla de proporción
€
Se vende un artículo con una ganancia del
% sobre el precio de costo. Si se ha comprado en
€. Halla el precio de venta.
Debido a la ganancia hay un recargo de
% sobre el precio de costo, es decir, de cada
€ se paga
€ más, por tanto en vez de los
€ se paga
€
€
€
€ 
Entonces tenemos la siguiente regla de proporción
€
Cuál será el precio que hemos de marcar en un artículo cuya compra ha ascendido a
€ para ganar al venderlo el
%.
Si el precio de compra es de
€ y se gana el
%, el precio de venta será de
€.
€
€
€
Entonces tenemos la siguiente regla de proporción
€
¿Qué precio de venta hemos de poner a un artículo comprado a
€, para perder el
% sobre el precio de venta?
Si el precio de venta es
€ y se pierde el
%, el precio de compra será de
€.
€ 
€ 
€
Se vende un objeto perdiendo el
% sobre el precio de compra. Hallar el precio de venta del citado artículo cuyo valor de compra fue de
€.
Si el precio de compra es
€ y se pierde el
%, el precio de venta será de
€.
€ 
€ 
Entonces tenemos la siguiente regla de proporción

Encuentra en Superprof el mejor curso de matematicas. Elige entre un profesor de matematicas online o uno presencial para tus clases.
Resumir con IA:

Apuntes es una plataforma dirigida al estudio y la práctica de las matemáticas a través de la teoría y ejercicios interactivos que ponemos a vuestra disposición. Esta información está disponible para todo aquel/aquella que quiera profundizar en el aprendizaje de esta ciencia. Será un placer ayudaros en caso de que tengáis dudas frente algún problema, sin embargo, no realizamos un ejercicio que nos presentéis de 0 sin que hayáis si quiera intentado resolverlo. Ánimo, todo esfuerzo tiene su recompensa.
asumo que en el ejercicio 19, donde pone comparado se refiera a comprado
Hola excelente observación, una disculpa ya se corrigió.
me parece muy bien que esten las correcciones pero mis niños se copian y le dan a intentar otra vez y entonces no les puedo poner nota
Hola, que bueno que utilices nuestro material y te sirva de apoyo, en cuanto a tu comentario podríamos no poner las correcciones pero otros usuarios se quejarían de que no las pongamos, lo cual crea un dilema complicado de resolver, entonces se opto por que si aparezcan, porque ayuda más a los usuarios a aprender.
en la numero dos, el desarrollo, junto con la respuesta esta mal, ya que no se esta contemplando el factor tiempo, que claramente se ve al principio de la formula
Hola si te refieres al problema de pintar una casa, entendemos que no parezca clara esta técnica, también se puede platear de la siguiente forma, por 25 horas de trabajo se paga 500 euros, y resolver el problema en dos casos, cuanto equivale 10 horas y después 15 horas en euros, obteniendo los mismos resultados.
Mediante qué método comparativo y didáctico o mediante qué fórmula puedo establecer a partir de qué momento la tasa de incremento es mayor al porcentaje de la tarifa de cobro autorizada y, por consiguiente que ese incremento puede convertirse en enriquecimiento sin causa, por ejemplo: incremento de canon de arrendamiento cuando se valoriza un inmueble o el incremento del impuesto sobre inmuebles cuando aumenta su avalúo frente a la tarifa fijada antes del aumento del avalúo?
Hola, si tienes razón y vamos a trabajar en ello, te agradecemos.