¡Bienvenidos a nuestra página dedicada a ejercicios y problemas resueltos con la regla de tres! La regla de tres es una de las herramientas más prácticas y útiles en matemáticas para encontrar proporciones entre distintos objetos. La regla de tres es como una brújula que nos guía a través de situaciones en las que necesitamos relacionar cantidades y encontrar proporciones precisas.
En este espacio, desglosaremos diversos ejercicios y problemas para que puedas perfeccionar tus habilidades en el arte de la proporción. Ya sea que estés buscando mejorar tus capacidades matemáticas cotidianas o necesites aplicar la regla de tres en contextos más complejos, estás en el lugar correcto. ¡Prepárate para desafiar tu mente y convertirte en un experto en la regla de tres!
Si buscas un profesor mates, ¿por qué no encontrarlo en Superprof? ¡La primera clase es gratis!
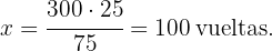
Dos ruedas están unidas por una correa transmisora. La primera tiene un radio de
cm y la segunda de
cm. Cuando la primera ha dado
vueltas, ¿cuántas vueltas habrá dado la segunda?
Primero notemos que, estas son magnitudes inversamente proporcionales, ya que a más radio dará menos vueltas. Si
representa el valor de vueltas buscado, del siguiente diagrama obtenemos que

La porción de vueltas es igual a la porción de radio en el siguiente sentido

Por lo tanto el valor de
es

La escala en un mapa es la siguiente:
cm en el mapa representan
m en la realidad. ¿A cuánto metros en la realidad equivalen
cm en el mapa?
Primero notemos que estas son magnitudes son directamente proporcionales, esto es, a más centímetros en el mapa, más metros en la vida real serán. Así, si
representa el número de metros en la realidad, entonces del siguiente diagrama obtenemos que

La proporción de metros es igual a la proporción de centímetros en el siguiente sentido

Por lo tanto el valor de
es

Seis personas pueden vivir en un hotel durante
días por
€. ¿Cuánto costará el hotel de
personas durante ocho días?
A más personas mayor costo y más días mayor costo también, por tanto son magnitudes directamente proporcionales. Sea
el valor de costo que estamos buscando, entonces

Por lo tanto la porción de personas multiplicada por la porción de días es igual a la porción de dinero, esto es,

Ahora despejamos el valor de 

De esta forma el hotel para
personas por ocho días costará
€.
Una tienda de conveniencia cobra
por cada
enviados, y si la cantidad no es exacta, se cobra la cantidad correspondiente. Si una persona depositó
, ¿cuánto le cobró la tienda de conveniencia por el envío?
Primero notemos que estas son magnitudes directamente proporcionales, ya que a más dinero enviado más es el cobro. Así, si
representa el monto cobrado por enviar el dinero, del siguiente diagrama obtenemos que

La proporción de dinero cobrado es igual a la proporción de dinero enviado en el siguiente sentido

Por lo tanto el valor de
es

Si con
botes de
de pintura cada uno se han pintado
m de verja de
cm de altura. Calcular cuántos botes de
de pintura serán necesarios para pintar una verja similar de
cm de altura y
metros de longitud.
Cuanta más pintura tenga un bote menos botes necesitaremos. Son magnitudes inversamente proporcionales.Cuanta más superficie tengamos que pintar más botes necesitaremos. Son magnitudes directamente proporcionales.Esta información nos permite plantear el siguiente diagrama

En este caso tenemos que
representa el número de botes de pintura que necesitamos. En la columna de la mitad del digrama hemos pasado a la longitud de la verja a metros y hemos calculado el área de dicha verja multiplicando la altura por la longitud.
Ahora despejamos el valor de
de la siguiente ecuación


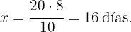
Si una casa tarda en construirse
días trabajando
obreros. ¿Cuántos días tardará si se contratan
obreros adicionales?
Primero notemos que, la variable obreros es inversa a la variable días, ya que, es razonable que, a más obreros trabajando menos tiempo tardarán contruyendo la casa. Así, si
representa el valor de días buscado, del siguiente diagrama obtenemos que

La proporción de obreros es inversa a la cantidad de días en el siguiente sentido

Por lo tanto el valor de
es

obreros labran un campo rectangular de
m de largo y
de ancho en
días. ¿Cuántos obreros serán necesarios para labrar otro campo análogo de
m de largo por
m de ancho en cinco días?
A más superficie más días necesitaremos. Son magnitudes directamente proporcionales. A más días menos obreros necesitaremos. Son magnitudes inversamente proporcionales. Así tenemos el siguiente diagrama

En el planteamiento de diagrama en la primera columna hemos calculado el área del campo, multiplicando el ancho por el largo. Ahora debemos despejar el valor de
de la siguiente ecuación


Esto significa que necesitamos para
obreros para labrar el campo de
m de largo por
m de ancho en cinco días.
Se requieren
enfermeras para atender a
pacientes en
días. ¿Cuántas enfermeras se necesitan para atender a
pacientes en
días?
Primero notemos que, a más enfermeras menos son los días que se taradarán en atender a los pacientes, por lo que la variable días es inversa. De la misma manera, a más pacientes, más será la cantidad de enfermeras requeridas por lo que la variable pacientes es directa.Por lo tanto, sea
el número de enfermeras que estamos buscando, entonces el problema lo podemos representar de la siguiente manera:

Por lo tanto, la proporción inversa de los días multiplicada por la proporción de pacientes es igual a la proporción de enfermeras ya que la variable días es inversa y la variable pacientes es directa, esto es,
Ahora despejamos el valor de 

Seis grifos, tardan
horas en llenar un depósito de
de capacidad. ¿Cuántas horas tardarán cuatro grifos en llenar
depósitos de
cada uno?
A más grifos menos horas. Son magnitudes inversamente proporcionalesA más depósitos más horas. Son magnitudes directamente proporcionalesA más
más horas. Son magnitudes directamente proporcionalesCon esta información podemos plantear el siguiente diagrama
Estas
cantidades en proporción se relacionan de la siguiente manera
despejando el valor
de horas tenemos que

Concluimos que cuatro grifos tardan
horas en llenar
depósitos de
.
máquinas de costura hiceron
prendas el día de ayer. Si el día de hoy solo estarán disponibles
máquinas, ¿cuántas prendas harán el día de hoy?
Notemos que, la variable máquinas es una variable directa, es decir, al tener menos máquinas se harán menos prendas. Así, si
representa el número de prendas buscado, del siguiente diagrama obtenemos que

Por lo tanto, la proporción de máquinas es igual a la proporción de prendas en el siguiente sentido

Por lo tanto el valor de
es

Resumir con IA:

Apuntes es una plataforma dirigida al estudio y la práctica de las matemáticas a través de la teoría y ejercicios interactivos que ponemos a vuestra disposición. Esta información está disponible para todo aquel/aquella que quiera profundizar en el aprendizaje de esta ciencia. Será un placer ayudaros en caso de que tengáis dudas frente algún problema, sin embargo, no realizamos un ejercicio que nos presentéis de 0 sin que hayáis si quiera intentado resolverlo. Ánimo, todo esfuerzo tiene su recompensa.
asumo que en el ejercicio 19, donde pone comparado se refiera a comprado
Hola excelente observación, una disculpa ya se corrigió.
me parece muy bien que esten las correcciones pero mis niños se copian y le dan a intentar otra vez y entonces no les puedo poner nota
Hola, que bueno que utilices nuestro material y te sirva de apoyo, en cuanto a tu comentario podríamos no poner las correcciones pero otros usuarios se quejarían de que no las pongamos, lo cual crea un dilema complicado de resolver, entonces se opto por que si aparezcan, porque ayuda más a los usuarios a aprender.
en la numero dos, el desarrollo, junto con la respuesta esta mal, ya que no se esta contemplando el factor tiempo, que claramente se ve al principio de la formula
Hola si te refieres al problema de pintar una casa, entendemos que no parezca clara esta técnica, también se puede platear de la siguiente forma, por 25 horas de trabajo se paga 500 euros, y resolver el problema en dos casos, cuanto equivale 10 horas y después 15 horas en euros, obteniendo los mismos resultados.
Mediante qué método comparativo y didáctico o mediante qué fórmula puedo establecer a partir de qué momento la tasa de incremento es mayor al porcentaje de la tarifa de cobro autorizada y, por consiguiente que ese incremento puede convertirse en enriquecimiento sin causa, por ejemplo: incremento de canon de arrendamiento cuando se valoriza un inmueble o el incremento del impuesto sobre inmuebles cuando aumenta su avalúo frente a la tarifa fijada antes del aumento del avalúo?
Hola, si tienes razón y vamos a trabajar en ello, te agradecemos.