La proporcionalidad es un concepto fundamental en matemáticas y en la vida diaria, que nos permite comparar y entender la relación entre diferentes cantidades. En esencia, dos magnitudes son proporcionales cuando su razón o cociente es constante. Este principio se aplica en diversas áreas, desde la resolución de problemas cotidianos hasta situaciones más complejas en campos como la economía, la ingeniería y las ciencias sociales.
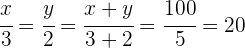
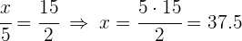
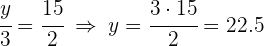
Pedro y María invirtieron 100 € durante un año, recibiendo una ganancia de 20 €. Si Pedro proporcionó 45 € para la inversión y María 55 €. ¿Cuánto le corresponde a cada uno si se reparten la ganancia de manera proporcional a lo que invirtieron?
1 Al ser un problema de proporcionalidad directa podemos establecer las siguientes igualdades

2 Resolviendo para cada incógnita


Mario y Juan pintaron una casa y recibieron un pago de 500 €. Si Mario trabajó 10 horas y Juan 15. ¿Cuánto le corresponde a cada uno si se reparte proporcionalmente al tiempo trabajado?
1 Al ser un problema de proporcionalidad directa podemos establecer las siguientes igualdades

2 Resolviendo para cada incógnita


Dos hermanos participan en un concurso donde el primero comete dos errores y el segundo tres. En el concurso ganan 100 € y deciden repartirlo de manera inversamente proporcional al número de errores cometidos, ¿cuánto le corresponde a cada uno?
1 Al ser un problema de proporcionalidad inversa, tomamos las inversas

2 Ponemos a común denominador

3 Realizamos un reparto directamente proporcional a los numeradores

4 Resolviendo para cada incógnita


Se reparten 60 € entre dos hermanos de manera inversamente proporcional al número de castigos obtenidos durante una semana. Si el primer hermano tuvo tres castigos y el segundo cinco, ¿cuánto le corresponde a cada uno?
1 Al ser un problema de proporcionalidad inversa, tomamos las inversas

2 Ponemos a común denominador

3 Realizamos un reparto directamente proporcional a los numeradores

4 Resolviendo para cada incógnita


Un abuelo reparte
entre sus tres nietos de
y
años de edad; proporcionalmente a sus edades. ¿Cuánto corresponde a cada uno?
1 Al ser un problema de proporcionalidad directa podemos establecer las siguientes igualdades

2 Resolviendo para cada incógnita



Se asocian tres individuos aportando
y
. Al cabo de un año han ganado
. ¿Qué cantidad corresponde a cada uno si hacen un reparto directamente proporcional a los capitales aportados?
1 Al ser un problema de proporcionalidad directa podemos establecer las siguientes igualdades


2 Resolviendo para cada incógnita



Se reparte una cantidad de dinero, entre tres personas, directamente proporcional a
y
. Sabiendo que a la segunda le corresponde
. Hallar lo que le corresponde a la primera y tercera.
1 Al ser un problema de proporcionalidad directa podemos establecer las siguientes igualdades

2 Calculamos las incógnitas faltantes



Se reparte dinero en proporción a
y
; al menor le corresponden
. ¿Cuánto corresponde a los otros dos?
1 Planteamos las igualdades de la proporcionalidad directa y calculamos las incógnitas faltantes



Tres hermanos ayudan al mantenimiento familiar entregando anualmente 5900 €. Si sus edades son de 20, 24 y 32 años y las aportaciones son inversamente proporcionales a la edad, ¿cuánto aporta cada uno?
1 Al ser un reparto inversamente proporcional, tenemos que tomar las inversas de las edades

2 Ponemos a común denominador

3 Realizamos un reparto directamente proporcional a los numeradores:
y 




Repartir
, entre tres niños en partes inversamente proporcionales a sus edades, que son
y
.
1 Al ser un reparto inversamente proporcional, tenemos que tomar las inversas de las edades

2 Ponemos a común denominador

3 Realizamos un reparto directamente proporcional a los numeradores:
y 




¿Durante cuánto tiempo ha de imponerse un capital de
al
para que se convierta en
?
1 Calculamos el interés obtenido:

años
Se prestan
y al cabo de un año,
meses y
días se reciben
. Calcular el tanto por ciento de interés.
1 Calculamos el tiempo en días
días
2 Calculamos el interés


3 Calculamos el rédito

Hallar él tanto por ciento de interés simple al que deberá prestarse un capital para que al cabo de
años los intereses sean equivalentes al capital prestado.
1 El interés es igual al capital

2 Sustituimos en
por la fórmula del interés

3 Productos de extremos es igual a producto de medios

4 Si tenemos
, entonces
. De este modo podemos despejar el rédito

5 Simplificamos la fracción


¿En cuánto tiempo se duplica un capital colocado al
?
1El interés es igual al doble del capital

2Sustituimos el interés por su fórmula, despejamos el tiempo y simplificamos



años.
¿En cuánto tiempo se triplica un capital colocado al
?
1El interés es igual al triple del capital

2Sustituimos el interés por su fórmula, despejamos el tiempo y simplificamos



años.
Resumir con IA:

Apuntes es una plataforma dirigida al estudio y la práctica de las matemáticas a través de la teoría y ejercicios interactivos que ponemos a vuestra disposición. Esta información está disponible para todo aquel/aquella que quiera profundizar en el aprendizaje de esta ciencia. Será un placer ayudaros en caso de que tengáis dudas frente algún problema, sin embargo, no realizamos un ejercicio que nos presentéis de 0 sin que hayáis si quiera intentado resolverlo. Ánimo, todo esfuerzo tiene su recompensa.
asumo que en el ejercicio 19, donde pone comparado se refiera a comprado
Hola excelente observación, una disculpa ya se corrigió.
me parece muy bien que esten las correcciones pero mis niños se copian y le dan a intentar otra vez y entonces no les puedo poner nota
Hola, que bueno que utilices nuestro material y te sirva de apoyo, en cuanto a tu comentario podríamos no poner las correcciones pero otros usuarios se quejarían de que no las pongamos, lo cual crea un dilema complicado de resolver, entonces se opto por que si aparezcan, porque ayuda más a los usuarios a aprender.
en la numero dos, el desarrollo, junto con la respuesta esta mal, ya que no se esta contemplando el factor tiempo, que claramente se ve al principio de la formula
Hola si te refieres al problema de pintar una casa, entendemos que no parezca clara esta técnica, también se puede platear de la siguiente forma, por 25 horas de trabajo se paga 500 euros, y resolver el problema en dos casos, cuanto equivale 10 horas y después 15 horas en euros, obteniendo los mismos resultados.
Mediante qué método comparativo y didáctico o mediante qué fórmula puedo establecer a partir de qué momento la tasa de incremento es mayor al porcentaje de la tarifa de cobro autorizada y, por consiguiente que ese incremento puede convertirse en enriquecimiento sin causa, por ejemplo: incremento de canon de arrendamiento cuando se valoriza un inmueble o el incremento del impuesto sobre inmuebles cuando aumenta su avalúo frente a la tarifa fijada antes del aumento del avalúo?
Hola, si tienes razón y vamos a trabajar en ello, te agradecemos.