Se llama interés al beneficio que produce el dinero prestado. Ese beneficio es directamente proporcional a la cantidad prestada y al tiempo que dura el préstamo.
Concepto | Nombre | Símbolo |
---|---|---|
Cantidad prestada | Capital | ![]() |
Tiempo del préstamo | Tiempo | ![]() |
Un beneficio por 100 € en un año | Rédito | ![]() |
Beneficio del préstamo | Interés | ![]() |
Si el tiempo viene expresado en años, la fórmula para calcular el interés es la siguiente
Si el tiempo viene expresado en meses, la fórmula es
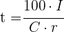
Si el tiempo viene expresado en días, la fórmula es
Ejemplos
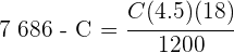
1 Hallar el capital prestado al 4.5%, a 18 meses, si .
Entonces nuestra ecuación a resolver es la siguiente, y lo que buscamos es encontrar el valor del capital , tomando en cuenta que el tiempo esta en meses la fórmula a usar es,

Multiplicamos ambos lados de la ecuación por y realizamos las respectivas multiplicaciones,


Buscamos tener la variable en un solo lado por lo tanto sumamos
del lado derecho,


Por último despejamos la variable , encontrando así el valor del capital prestado.
€
2 Calcular el tiempo que se necesita para producir 3000 € con un capital de 12000 € al 5%.
Como el tiempo no esta definido usaremos la fórmula,

Sustituyendo los valores dados,

Pasamos el multiplicando y realizamos las correspondientes operaciones aritméticas,

Despejamos el valor de , para finalmente encontrar el tiempo que se necesita para producir
€


3 Hallar el interés producido durante cinco años, por un capital de 30 000 €, al 6%.
Comenzamos por elegir sustituir los valores dados en la fórmula,

haciendo las operaciones correspondientes encontramos el interés producido.
€
4 Calcular en qué se convierte, en seis meses, un capital de 10.000 €, al 3.5%.
Cómo el tiempo viene expresado en meses, la fórmula es sustituimos los valores dados
€
Por último sumamos el capital más los intereses,
€
€ =
€
5¿Durante cuánto tiempo ha de imponerse un capital de 25 000 € al 5% para que se convierta en 30.000 €?
Primero tenemos que buscar cual es el interés que se generará, es decir,
€
€ =
€
Ya que sabemos que son €, los intereses a generar, calculemos el tiempo en que se logrará, utilizando la fórmula,

y despejando el tiempo, es decir,


Apuntes es una plataforma dirigida al estudio y la práctica de las matemáticas a través de la teoría y ejercicios interactivos que ponemos a vuestra disposición. Esta información está disponible para todo aquel/aquella que quiera profundizar en el aprendizaje de esta ciencia. Será un placer ayudaros en caso de que tengáis dudas frente algún problema, sin embargo, no realizamos un ejercicio que nos presentéis de 0 sin que hayáis si quiera intentado resolverlo. Ánimo, todo esfuerzo tiene su recompensa.
Cuánto se debe depositar cada fin de semestre si usted quiere acumular Bs 10000 al cabo de 4 años conociendo que la entidad financiera reconoce un interés del 12% anual
esta mal la mayoria de ejercicios la cual se confunde en el mismo ejercicios ep e ip
Hola puedes hacernos el favor de mencionar los ejercicios que están mal para poder corregirlos y así evitar confusiones.
Buenos días, el ejercicio 1 está mal si la relación fuera directa entre las variables que no lo e como muestra ahí daría 400kg. La respuesta para mí es que: la relación de las variables es indirecta lo que no sé cómo llega a los 25000. No llego a ese número.
La empresa A1 tal pone en la bolsa de valores $134 acciones por 130 c/u para mantenerlas 3 años
La empresa A2 las compra y las pone nuevamente en la bolsa de valores a un interes simple de 30% por los 3 años
La tercera empresa compra estas acciones por 5 años
Durante el primer semestre la empresa A2 ve que las acciones compradas bajan a $100 podría resolverlo con las cuentas
Hola tu razonamiento es correcto si a mayor tamaño de la rueda, mas vueltas da, pero no es así, pues las ruedas grandes dan menos vueltas que las ruedas pequeñas, por eso se usa razones inversamente proporcionales.