Pasos para encontrar el mismo denominador
Reducir varias fracciones a común denominador consiste en convertirlas en otras equivalentes que tengan el mismo denominador.
1 Se toman los denominadores y se decomponen en números primos.
2 Se determina el denominador común, que será el mínimo común múltiplo de los denominadores.
3 Este denominador común se divide por cada uno de los denominadores.
4 El cociente obtenido se transforma en una fracción igual a uno: etc.
5 Multiplicamos cada fracción por la fracción unitaria correspondiente de manera a obtener el mismo denominador.
Ejemplos de cálculo de fracciones
1 Encontrar el mínimo denominador común de las siguientes fracciones:

Descomponemos cada uno de los denominadores en números primos:



Tomamos la combinación de números de manera a que no haya ninguno que falte.
En este caso el m.c.m. está compuesto por:

Dividimos el denominador común por el denominador de cada fracción para encontrar la fracción unitaria que corresponde:

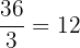
La fracción unitaria con cuál multiplicamos a es
.

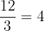
La fracción unitaria con cuál multiplicamos a es
.

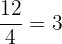
La fracción unitaria con cuál multiplicamos a es
Obtenemos:



Poniendo todas las fracciones al mismo denominador facilita calcular sumas y restas.
2 Encontrar el mínimo denominador común de las siguientes fracciones: y sumar.
Descomponemos cada uno de los denominadores en números primos:



Tomamos la combinación de números de manera a que no haya ninguno que falte.
En este caso el m.c.m. está compuesto por:

Poniendo todas las fracciones al mismo denominador facilita calcular sumas y restas.
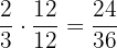
Para calcular una suma de las tres fracciones, primero las ponemos al mismo denominador , multiplicando cada uno por la fracción unitaria correspondiente:

La fracción unitaria con cuál multiplicamos a es

La fracción unitaria con cuál multiplicamos a es

La fracción unitaria con cuál multiplicamos a es
Hacemos el cálculo:


Apuntes es una plataforma dirigida al estudio y la práctica de las matemáticas a través de la teoría y ejercicios interactivos que ponemos a vuestra disposición. Esta información está disponible para todo aquel/aquella que quiera profundizar en el aprendizaje de esta ciencia. Será un placer ayudaros en caso de que tengáis dudas frente algún problema, sin embargo, no realizamos un ejercicio que nos presentéis de 0 sin que hayáis si quiera intentado resolverlo. Ánimo, todo esfuerzo tiene su recompensa.
Si van a poner ejercicio pónganlo bien si van a poner división póngame en el signo de división si van a poner multiplicación ponga bien el signo de multiplicación
Hola lamentamos los errores cometidos, podrías hacernos el favor de mencionarnos donde están las fallas para poder corregirlas.
En el ejercicio dos no da esa respuesta
Hola el artículo que revise hay varios ejercicios 2, pero no encontré el error que mencionas, podrías dar mas detalles por favor, así se podrá corregir.
Buenos días, saludos desde México, quiero hacerle la observación de que el resultado del inciso b del problema 6 de la primera sección es incorrecto, porque está considerando al censo como 15,400 y no es verdad, ese es el número de votantes, por tanto el censo debe tener mayor cantidad de personas
Hola gracias por visitar la pagina, una disculpa ya se corrigió.
Hola agradecemos tu observación, una disculpa ya se corrigió.