División de radicales con el mismo índice
Para dividir radicales con el mismo índice se dividen los radicandos y se deja el mismo índice.

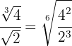
Ejemplo: Realizar la división de radicales 
1 Como los dos radicales tienen el mismo índice lo ponemos todo en un radical con el mismo índice

2 Descomponemos en factores, hacemos la división de potencias con la misma base

3 Simplificamos el radical dividiendo el índice y el exponente del radicando por 

División de radicales con distinto índice
Primero se reducen a índice común y luego se dividen los radicandos y se deja el mismo índice.
Ejemplo: Realizar la división de radicales 
1 El común indice es el
de los índices

2 Dividimos el común índice
por cada uno de los índices y cada resultado obtenido se multiplica por sus exponentes correspondientes

3 Descomponemos
en factores y realizamos las operaciones con potencias

4 Cuando terminemos de realizar una operación simplificaremos el radical, si es posible.
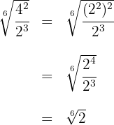
Ejemplo: Realizar la división de radicales 
1 El común indice es el
de los índices

2 Dividimos el común índice
por cada uno de los índices y cada resultado obtenido se multiplica por sus exponentes correspondientes

3 Descomponemos
y
en factores y realizamos las operaciones con potencias

4 Simplificamos el radical dividiendo por 2 el índice y el exponente del radicando, y por último extraemos factores

Resumir con IA:









Apuntes es una plataforma dirigida al estudio y la práctica de las matemáticas a través de la teoría y ejercicios interactivos que ponemos a vuestra disposición. Esta información está disponible para todo aquel/aquella que quiera profundizar en el aprendizaje de esta ciencia. Será un placer ayudaros en caso de que tengáis dudas frente algún problema, sin embargo, no realizamos un ejercicio que nos presentéis de 0 sin que hayáis si quiera intentado resolverlo. Ánimo, todo esfuerzo tiene su recompensa.
¿Cómo puedo citar su contenido? No encuentro el autor y año de actualización de la información y utilizo mucho de su material. Agradecería su respuesta, soy maestra en una institución de educación superior en México
¡Hola! 😊 Nos alegra mucho saber que utilizas nuestro contenido. Para citarlo, puedes hacerlo mencionando Superprof como autor y el enlace del artículo. Por ejemplo:
Superprof. (s.f.). Título del artículo. Disponible en: [URL] 📚
Utilizamos “(s.f.)” cuando no aparece la fecha de publicación. ¡Esperamos que te sea útil! 🙌✨
En donde hay operaciones combinadas con numeros reales?
Hola con gusto te recomendamos, ejercicios de números reales 1 y 2, además de ejercicios interactivos del mismo tema.
hola…como racionalizo 48-6m / la raiz de 4 (dentro de la misma raiz )-raiz de 2m
Hola con gusto te ayudamos, multiplica por la raíz de 4 (dentro de la misma raíz )-raíz de 2m/ la raíz de 4 (dentro de la misma raíz )-raíz de 2m y después por 4 (dentro de la misma raíz )-raíz de 2m/4 (dentro de la misma raíz )-raíz de 2m.
tiene mal la respuesta del 9
Hola revise el ejercicio 9 del artículo y no encontré el error, podrías dar mas detalles por favor para poder corregirlo.
Cómo se resuelve 1/4-3/4÷4/5² todo la operación dentro de una raíz cúbica