Reduce a índice común los siguientes radicales:
1
,
1 En primer lugar calculamos el mínimo común múltiplo de los índices y este será el común índice.
En este caso los índices son
y
, entonces el índice común será
2 Dividimos el común índice
por cada uno de los índices
y cada resultado obtenido se multiplica por sus exponentes correspondientes


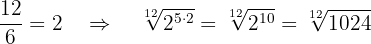
2

, ,
Nuevamente
1 Calculamos el mínimo común múltiplo de los índices. Los índices son
y
, entonces el índice común será
2 Dividimos el común índice
por cada uno de los índices
y cada resultado obtenido se multiplica por sus exponentes correspondientes



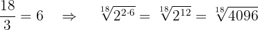
3

,
1 Calculamos el mínimo común múltiplo de los índices.
2 Dividimos el común índice
por cada uno de los índices
y cada resultado obtenido se multiplica por sus exponentes correspondientes


4

,
1 Calculamos el mínimo común múltiplo de los índices.
2 Dividimos el común índice
por cada uno de los índices
y cada resultado obtenido se multiplica por sus exponentes correspondientes


5

, ,
1 Calculamos el mínimo común múltiplo de los índices.
2 Dividimos el común índice
por cada uno de los índices
y cada resultado obtenido se multiplica por sus exponentes correspondientes



Si tienes dudas puedes consultar la teoría
Resumir con IA:

Apuntes es una plataforma dirigida al estudio y la práctica de las matemáticas a través de la teoría y ejercicios interactivos que ponemos a vuestra disposición. Esta información está disponible para todo aquel/aquella que quiera profundizar en el aprendizaje de esta ciencia. Será un placer ayudaros en caso de que tengáis dudas frente algún problema, sin embargo, no realizamos un ejercicio que nos presentéis de 0 sin que hayáis si quiera intentado resolverlo. Ánimo, todo esfuerzo tiene su recompensa.
Que el producto de radicales no necesariamente es un radical
Hola, así es existen casos donde el producto de radicales no es un radical, por ejemplo (√2 )(√32)=√64=8.
¿Cómo puedo citar su contenido? No encuentro el autor y año de actualización de la información y utilizo mucho de su material. Agradecería su respuesta, soy maestra en una institución de educación superior en México
¡Hola! 😊 Nos alegra mucho saber que utilizas nuestro contenido. Para citarlo, puedes hacerlo mencionando Superprof como autor y el enlace del artículo. Por ejemplo:
Superprof. (s.f.). Título del artículo. Disponible en: [URL] 📚
Utilizamos “(s.f.)” cuando no aparece la fecha de publicación. ¡Esperamos que te sea útil! 🙌✨
Nesesito mas ejercicio resueltos
de la racionalizacion
Hola, entendemos tu necesidad esperamos en un cercano futuro tener más artículos con el tema que deseas y poder ayudarte más.
En donde hay operaciones combinadas con numeros reales?
Hola con gusto te recomendamos, ejercicios de números reales 1 y 2, además de ejercicios interactivos del mismo tema.