Dos radicales son equivalentes si sus potencias fraccionarias asociadas también lo son.
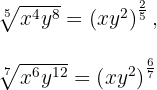
Ejemplo:  y
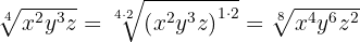
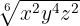
 y  son radicales equivalentes. Para verificar, escribimos ambos radicales en potencias fraccionarias
 son radicales equivalentes. Para verificar, escribimos ambos radicales en potencias fraccionarias
 
    Los exponentes fraccionarios  y
 y  son equivalentes, ya que el producto de sus extremos es igual al producto de sus medios
 son equivalentes, ya que el producto de sus extremos es igual al producto de sus medios
Construcción de radicales equivalentes
Para construir radicales equivalentes basta construir potencias fraccionarias equivalentes, las cuales pueden obtenerse de dos formas: amplificar y simplificar.
Amplificación de radicales
Se obtiene multiplicando el numerador y el denominador del exponente fraccionario por un mismo número distinto de cero
 
    Simplificación de radicales
Se obtiene dividiendo el numerador y el denominador del exponente fraccionario por un mismo número distinto de cero
 
    Para amplificar y simplificar un radical, no es necesario expresarlo en forma fraccionaria; basta con multiplicar o dividir por un mismo número al exponente del radicando y el índice de la raíz.
 
     
    Si la fracción de la potencia asociada es irreducible, se dice que el radical es irreducible.
Ejercicios propuestos
Verifica si los siguientes radicales son equivalentes
1 
2 
3 
4 
5 
1

Primero expresamos ambos radicales en notación fraccionaria

Verificamos si los exponentes fraccionarios  son equivalentes
 son equivalentes  son equivalentes Así, los radicales son equivalentes.
 son equivalentes Así, los radicales son equivalentes.
2

Expresamos ambos radicales en notación fraccionaria 
Verificamos si los exponentes fraccionarios  son equivalentes
 son equivalentes  son equivalentes Así, los radicales son equivalentes.
 son equivalentes Así, los radicales son equivalentes.
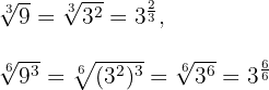
3

Expresamos ambos radicales en notación fraccionaria 
Verificamos si los exponentes fraccionarios  son equivalentes
 son equivalentes  son equivalentes Así, los radicales son equivalentes.
 son equivalentes Así, los radicales son equivalentes.
4

Expresamos ambos radicales en notación fraccionaria 
Verificamos si los exponentes fraccionarios  son equivalentes
 son equivalentes  no son equivalentes Así, los radicales no son equivalentes.
 no son equivalentes Así, los radicales no son equivalentes.
5

Primero expresamos ambos radicales en notación fraccionaria 
Verificamos si los exponentes fraccionarios  son equivalentes
 son equivalentes  no son equivalentes Así, los radicales no son equivalentes.
 no son equivalentes Así, los radicales no son equivalentes.
Para los siguientes radicales, encuentra radicales equivalentes mediante amplificación.
1
2
3 
1 
Multiplicamos por un mismo número al exponente del radicando y el índice de la raíz
 
  
 
2 
Multiplicamos por un mismo número al exponente del radicando y el índice de la raíz  
  
 
3 
Multiplicamos por un mismo número al exponente del radicando y el índice de la raíz  
  
 
Para los siguientes radicales, encuentra radicales equivalentes mediante simplificación.
1 
2 
3 
1 
Dividimos por un mismo número al exponente del radicando y el índice de la raíz
 
  
 
2 
Dividimos por un mismo número al exponente del radicando y el índice de la raíz  
  
 
3 
Dividimos por un mismo número al exponente del radicando y el índice de la raíz  
  
 
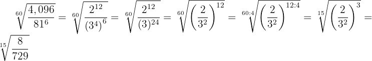
Verificar si son equivalentes los radicales  .
.
Expresamos el primer radical en notación fraccionaria, para ello factorizamos el radicando

Expresamos el segundo radical en notación fraccionaria, para ello factorizamos el radicando

Verificamos si los exponentes fraccionarios  son equivalentes
 son equivalentes
 son equivalentes
 son equivalentes
Así, los radicales son equivalentes.
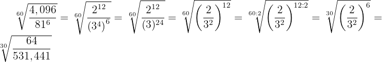
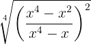
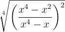
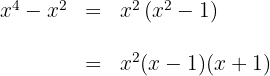
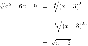
Usando simplificación de radicales, encuentra un radical equivalente a  .
.
Tenemos que encontrar un radical equivalente a 
Factorizamos el numerador del radicando sin elevar al cuadrado

Factorizamos el denominador del radicando sin elevar al cuadrado

Simplificamos el radicando sin elevar al cuadrado

Escribimos el radical con su radicando simplificado

Así, se obtiene que los radicales son equivalentes.
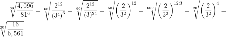
Usando simplificación de radicales, encuentra un radical equivalente a  .
.
Tenemos que encontrar un radical equivalente a 
Factorizamos el radicando

Escribimos el radical con su radicando simplificado

Así, se obtiene que los radicales son equivalentes.
Indica si es irreducible el radical  .
.
Factorizamos el radicando

Escribimos el radical en forma fraccionaria

La fracción de la potencia asociada no es irreducible, luego el radical no es irreducible
Indica si es irreducible el radical  .
.
Factorizamos el radicando

Escribimos el radical en forma fraccionaria

La fracción de la potencia asociada es irreducible, luego el radical es irreducible
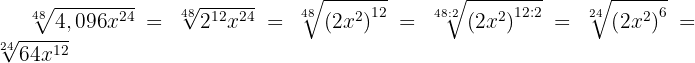
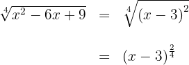
Usando amplificación de radicales, encuentra un radical equivalente a  .
.
Tenemos que encontrar un radical equivalente a  empleando amplificación de radicales
 empleando amplificación de radicales
multiplicamos por un mismo número los exponentes del radicando y el índice de la raíz

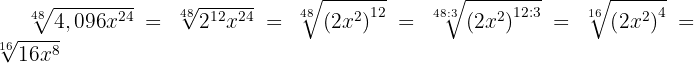
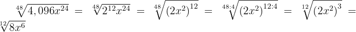
Usando simplificación de radicales, encuentra un radical equivalente a  .
.
Tenemos que encontrar un radical equivalente a  empleando simplificación de radicales
 empleando simplificación de radicales
Dividimos por un mismo número los exponentes del radicando y el índice de la raíz









 Cargando...
Cargando...
Apuntes es una plataforma dirigida al estudio y la práctica de las matemáticas a través de la teoría y ejercicios interactivos que ponemos a vuestra disposición. Esta información está disponible para todo aquel/aquella que quiera profundizar en el aprendizaje de esta ciencia. Será un placer ayudaros en caso de que tengáis dudas frente algún problema, sin embargo, no realizamos un ejercicio que nos presentéis de 0 sin que hayáis si quiera intentado resolverlo. Ánimo, todo esfuerzo tiene su recompensa.
hola…como racionalizo 48-6m / la raiz de 4 (dentro de la misma raiz )-raiz de 2m
Hola con gusto te ayudamos, multiplica por la raíz de 4 (dentro de la misma raíz )-raíz de 2m/ la raíz de 4 (dentro de la misma raíz )-raíz de 2m y después por 4 (dentro de la misma raíz )-raíz de 2m/4 (dentro de la misma raíz )-raíz de 2m.
tiene mal la respuesta del 9
Hola revise el ejercicio 9 del artículo y no encontré el error, podrías dar mas detalles por favor para poder corregirlo.
No sé que es disyuntiva, comnutativa
Hola con gusto te ayudamos, con la propiedad disyuntiva significa que si tienes dos opciones y se cumpla una entonces es suficiente por ejemplo «puedes comer en tu casa o en el centro comercial» como puedes ver la propiedad disyuntiva te da opciones, en el caso de la propiedad conmutativa no importa el orden en que hagas una operación puedes sumar «5+4» o «4+5».
Hola analizamos tu observación, si te refieres a (√8+√5)+0=√8+(√5+0) la respuesta es lo que tu comentas «propiedad asociativa de la suma», si me equivoco por favor menciónalo y lo rectificamos con gusto.
El primer ejercicio por que es propiedad distributiva de la suma y no propiedad asociativa de la suma