Capítulos
Los/las mejores profesores/as de Matemáticas que están disponibles
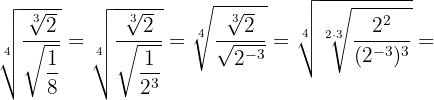
Raíz de un radical
La raíz de un radical es otro radical de igual radicando y cuyo índice es el producto de los dos índices.
Ejemplos:
1
Multiplicamos los índices
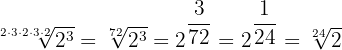
2
Introducimos el primer 2 dentro de la raíz cúbica por lo que tendremos que elevarlo al cubo y multiplicamos las potencias con la misma base
Introducimos el en la raíz cuarta por lo que tenemos que elevarlo a la cuarta, realizamos el producto de potencias y por último el producto de los índices
Ejemplos de raíz radicales
1



2



Apuntes es una plataforma dirigida al estudio y la práctica de las matemáticas a través de la teoría y ejercicios interactivos que ponemos a vuestra disposición. Esta información está disponible para todo aquel/aquella que quiera profundizar en el aprendizaje de esta ciencia. Será un placer ayudaros en caso de que tengáis dudas frente algún problema, sin embargo, no realizamos un ejercicio que nos presentéis de 0 sin que hayáis si quiera intentado resolverlo. Ánimo, todo esfuerzo tiene su recompensa.
hola…como racionalizo 48-6m / la raiz de 4 (dentro de la misma raiz )-raiz de 2m
Hola con gusto te ayudamos, multiplica por la raíz de 4 (dentro de la misma raíz )-raíz de 2m/ la raíz de 4 (dentro de la misma raíz )-raíz de 2m y después por 4 (dentro de la misma raíz )-raíz de 2m/4 (dentro de la misma raíz )-raíz de 2m.
tiene mal la respuesta del 9
Hola revise el ejercicio 9 del artículo y no encontré el error, podrías dar mas detalles por favor para poder corregirlo.
No sé que es disyuntiva, comnutativa
Hola con gusto te ayudamos, con la propiedad disyuntiva significa que si tienes dos opciones y se cumpla una entonces es suficiente por ejemplo «puedes comer en tu casa o en el centro comercial» como puedes ver la propiedad disyuntiva te da opciones, en el caso de la propiedad conmutativa no importa el orden en que hagas una operación puedes sumar «5+4» o «4+5».
Hola analizamos tu observación, si te refieres a (√8+√5)+0=√8+(√5+0) la respuesta es lo que tu comentas «propiedad asociativa de la suma», si me equivoco por favor menciónalo y lo rectificamos con gusto.
El primer ejercicio por que es propiedad distributiva de la suma y no propiedad asociativa de la suma