¿Qué es la racionalización de radicales?
La racionalización de radicales consiste en quitar los radicales del denominador, lo que permite facilitar el cálculo de operaciones como la suma de fracciones.
Podemos distinguir tres casos:
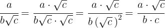
Caso 1
Racionalización del tipo 
Se multiplica el numerador y el denominador por
.
Ejemplos
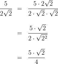
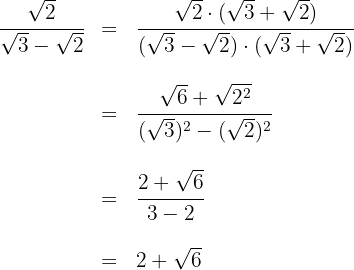
1 Racionalizarla expresión
Multiplicamos numerador y denominador por la raíz de 2, realizamos los cálculos y simplificamos la fracción
2 Racionalizar la expresión 
Para poder realizar la suma racionalizamos el 2º sumando multiplicando y dividiendo por raíz de 2, y realizamos la suma
Caso 2
Racionalización del tipo 
Se multiplica numerador y denominador por
.
Ejemplo
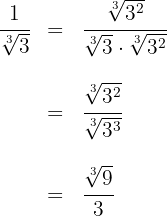
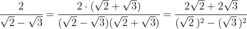
Racionalizar la expresión 
El radicando
lo ponemos en forma de potencia: 
Tenemos que multiplicar en el numerador y denominador por la raíz quinta de 
Multiplicamos los radicales del denominador, extraemos factores del radical y simplificamos la fracción
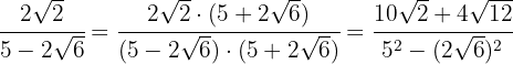
Caso 3
Racionalización del tipo 
Y en general cuando el denominador sea un binomio con al menos un radical.
Se multiplica el numerador y denominador por el conjugado del denominador.
El conjugado de un binomio es igual al binomio con el signo central cambiado:
También tenemos que tener en cuenta que: "suma por diferencia es igual a diferencia de cuadrados".
Ejemplos
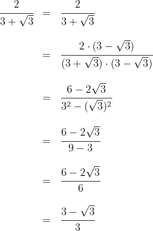
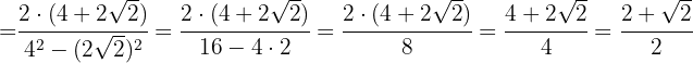
1 Racionalizar la expresión 
Multiplicamos numerador y denominador por el conjugado del denominador, quitamos paréntesis en el numerador y efectuamos la suma por diferencia en el denominador, por lo que obtenemos una diferencia de cuadrados
En el denominador extraemos los radicandos y dividimos por
, es decir, cambiamos el numerador de signo
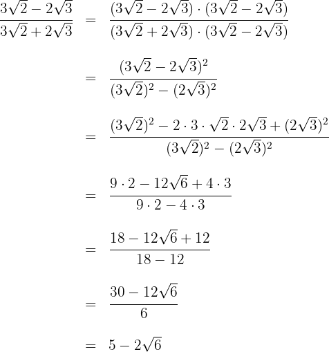
2 Racionalizar la expresión 
Multiplicamos y dividimos la fracción por el conjugado del denominador
Efectuamos la suma por diferencia en el denominador, realizamos las operaciones y simplificamos la fracción dividiendo por 
3 Racionalizar la expresión 
Multiplicamos numerador y denominador por el conjugado del denominador, quitamos paréntesis en el numerador y efectuamos la suma por diferencia en el denominador, por lo que obtenemos una diferencia de cuadrados
En el numerador descomponemos en factores al
y extraemos factores, terminamos realizando las operaciones del denominador
Ejemplos de ejercicios de racionalización radicales
Racionaliza las siguientes expresiones:










Resumir con IA:









Apuntes es una plataforma dirigida al estudio y la práctica de las matemáticas a través de la teoría y ejercicios interactivos que ponemos a vuestra disposición. Esta información está disponible para todo aquel/aquella que quiera profundizar en el aprendizaje de esta ciencia. Será un placer ayudaros en caso de que tengáis dudas frente algún problema, sin embargo, no realizamos un ejercicio que nos presentéis de 0 sin que hayáis si quiera intentado resolverlo. Ánimo, todo esfuerzo tiene su recompensa.
¿Cómo puedo citar su contenido? No encuentro el autor y año de actualización de la información y utilizo mucho de su material. Agradecería su respuesta, soy maestra en una institución de educación superior en México
¡Hola! 😊 Nos alegra mucho saber que utilizas nuestro contenido. Para citarlo, puedes hacerlo mencionando Superprof como autor y el enlace del artículo. Por ejemplo:
Superprof. (s.f.). Título del artículo. Disponible en: [URL] 📚
Utilizamos “(s.f.)” cuando no aparece la fecha de publicación. ¡Esperamos que te sea útil! 🙌✨
En donde hay operaciones combinadas con numeros reales?
Hola con gusto te recomendamos, ejercicios de números reales 1 y 2, además de ejercicios interactivos del mismo tema.
hola…como racionalizo 48-6m / la raiz de 4 (dentro de la misma raiz )-raiz de 2m
Hola con gusto te ayudamos, multiplica por la raíz de 4 (dentro de la misma raíz )-raíz de 2m/ la raíz de 4 (dentro de la misma raíz )-raíz de 2m y después por 4 (dentro de la misma raíz )-raíz de 2m/4 (dentro de la misma raíz )-raíz de 2m.
tiene mal la respuesta del 9
Hola revise el ejercicio 9 del artículo y no encontré el error, podrías dar mas detalles por favor para poder corregirlo.
Cómo se resuelve 1/4-3/4÷4/5² todo la operación dentro de una raíz cúbica