Racionaliza y simplifica el resultado siempre que se pueda. Recuerda usar el símbolo √ en los resultados:
| 1 |  |  | |
|  | 
Multiplicamos numerador y denominador por raíz de 
 
 | 2 |  |  | · | 
|  | 
Multiplicamos numerador y denominador por raíz de 
 
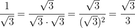
 | 3 |  |  | |
|  | 
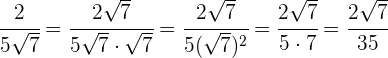
Tenemos que multiplicar en el numerador y denominador por la raíz séptima de 
 
 | 4 |  |  | · | 
|  | 
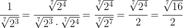
La base del radicando  lo ponemos en forma de potencia:
 lo ponemos en forma de potencia: 
Tenemos que multiplicar en el numerador y denominador por la raíz quinta de  , realizamos las operaciones y simplificamos la fracción
, realizamos las operaciones y simplificamos la fracción
 
 | 5 |  |  |   | 
|  | 
Multiplicamos numerador y denominador por el conjugado del denominador y efectuamos la suma por diferencia en el denominador, por lo que obtenemos una diferencia de cuadrados
 
  
 | 6 |  |  | ·   | 
|  | 
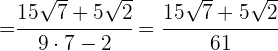
Multiplicamos numerador y denominador por el conjugado del denominador y efectuamos la suma por diferencia en el denominador, por lo que obtenemos una diferencia de cuadrados
Multiplicamos en el numerador y restamos en el denominador
 
  
 | 7 |  |  | ·  · | 
|  | 
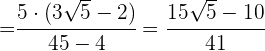
Multiplicamos numerador y denominador por el conjugado del denominador y efectuamos la suma por diferencia en el denominador, por lo que obtenemos una diferencia de cuadrados
Multiplicamos en el numerador y operamos en el denominador
 
  
 | 8 |  |  |   | 
|  | 
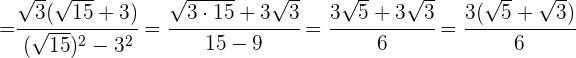
Multiplicamos numerador y denominador por el conjugado del denominador y efectuamos la suma por diferencia en el denominador, por lo que obtenemos una diferencia de cuadrados
En el numerador multiplicamos por raíz de  el paréntesis:
 el paréntesis:

En el denominador efectuamos las operaciones indicadas y por último simplificamos la fracción
 
  
  
 Si tienes dudas puedes consultar la teoría
 Cargando...
Cargando...
Apuntes es una plataforma dirigida al estudio y la práctica de las matemáticas a través de la teoría y ejercicios interactivos que ponemos a vuestra disposición. Esta información está disponible para todo aquel/aquella que quiera profundizar en el aprendizaje de esta ciencia. Será un placer ayudaros en caso de que tengáis dudas frente algún problema, sin embargo, no realizamos un ejercicio que nos presentéis de 0 sin que hayáis si quiera intentado resolverlo. Ánimo, todo esfuerzo tiene su recompensa.
hola…como racionalizo 48-6m / la raiz de 4 (dentro de la misma raiz )-raiz de 2m
Hola con gusto te ayudamos, multiplica por la raíz de 4 (dentro de la misma raíz )-raíz de 2m/ la raíz de 4 (dentro de la misma raíz )-raíz de 2m y después por 4 (dentro de la misma raíz )-raíz de 2m/4 (dentro de la misma raíz )-raíz de 2m.
tiene mal la respuesta del 9
Hola revise el ejercicio 9 del artículo y no encontré el error, podrías dar mas detalles por favor para poder corregirlo.
No sé que es disyuntiva, comnutativa
Hola con gusto te ayudamos, con la propiedad disyuntiva significa que si tienes dos opciones y se cumpla una entonces es suficiente por ejemplo «puedes comer en tu casa o en el centro comercial» como puedes ver la propiedad disyuntiva te da opciones, en el caso de la propiedad conmutativa no importa el orden en que hagas una operación puedes sumar «5+4» o «4+5».
Hola analizamos tu observación, si te refieres a (√8+√5)+0=√8+(√5+0) la respuesta es lo que tu comentas «propiedad asociativa de la suma», si me equivoco por favor menciónalo y lo rectificamos con gusto.
El primer ejercicio por que es propiedad distributiva de la suma y no propiedad asociativa de la suma