Resuelve los siguientes ejercicios. Recuerda usar el símbolo √ en los resultados:
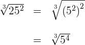
· 1El exponente cuadrático entra en la raíz y se convierte en el exponente del radicando

2Expresamos el radicando como producto de factores primos y elevamos a la potencia indicada

3Simplificando los radicales obtenemos

· 1El exponente cuatro entra en la raíz y se convierte en el exponente del radicando

2Expresamos el radicando como producto de factores primos y elevamos a la potencia indicada

3Simplificando los radicales obtenemos

· 1El exponente cúbico entra en la raíz y se convierte en el exponente del radicando

2Expresamos el radicando como producto de factores primos y elevamos a la potencia indicada

3Simplificando los radicales obtenemos

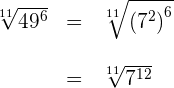
· 1El exponente seis entra en la raíz y se convierte en el exponente del radicando

2Expresamos el radicando como producto de factores primos y elevamos a la potencia indicada

3Simplificando los radicales obtenemos

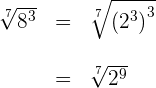
· 1El exponente cúbico entra en la raíz y se convierte en el exponente del radicando

2Expresamos el radicando como producto de factores primos y elevamos a la potencia indicada

3Simplificando los radicales obtenemos

· 1El exponente cuadrático entra en la raíz y se convierte en el exponente del radicando

2Expresamos el radicando como producto de factores primos y elevamos a la potencia indicada

3Simplificando los radicales obtenemos

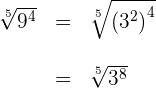
· 1El exponente cuatro entra en la raíz y se convierte en el exponente del radicando

2Expresamos el radicando como producto de factores primos y elevamos a la potencia indicada

3Simplificando los radicales obtenemos

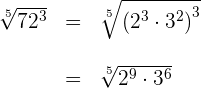
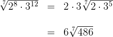
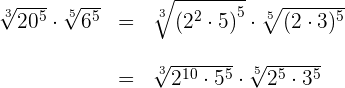
· 1El exponente cinco entra en cada una de las raíces y se convierte en el exponente del radicando

2Expresamos cada radicando como producto de factores primos y elevamos a la potencia indicada

3Simplificando los radicales obtenemos

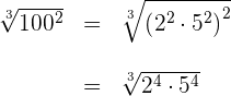
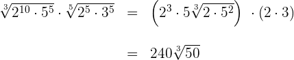
· 1El exponente cúbico entra en cada una de las raíces y se convierte en el exponente del radicando

2Expresamos cada radicando como producto de factores primos y elevamos a la potencia indicada

3Simplificando los radicales obtenemos

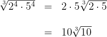
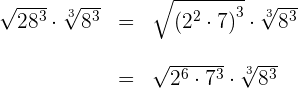
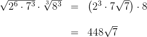
· 1El exponente cinco entra en cada una de las raíces y se convierte en el exponente del radicando

2Expresamos cada radicando como producto de factores primos y elevamos a la potencia indicada

3Simplificando los radicales obtenemos

Si tienes dudas puedes consultar la teoría
Resumir con IA:

Apuntes es una plataforma dirigida al estudio y la práctica de las matemáticas a través de la teoría y ejercicios interactivos que ponemos a vuestra disposición. Esta información está disponible para todo aquel/aquella que quiera profundizar en el aprendizaje de esta ciencia. Será un placer ayudaros en caso de que tengáis dudas frente algún problema, sin embargo, no realizamos un ejercicio que nos presentéis de 0 sin que hayáis si quiera intentado resolverlo. Ánimo, todo esfuerzo tiene su recompensa.
¿Cómo puedo citar su contenido? No encuentro el autor y año de actualización de la información y utilizo mucho de su material. Agradecería su respuesta, soy maestra en una institución de educación superior en México
¡Hola! 😊 Nos alegra mucho saber que utilizas nuestro contenido. Para citarlo, puedes hacerlo mencionando Superprof como autor y el enlace del artículo. Por ejemplo:
Superprof. (s.f.). Título del artículo. Disponible en: [URL] 📚
Utilizamos “(s.f.)” cuando no aparece la fecha de publicación. ¡Esperamos que te sea útil! 🙌✨
En donde hay operaciones combinadas con numeros reales?
Hola con gusto te recomendamos, ejercicios de números reales 1 y 2, además de ejercicios interactivos del mismo tema.
hola…como racionalizo 48-6m / la raiz de 4 (dentro de la misma raiz )-raiz de 2m
Hola con gusto te ayudamos, multiplica por la raíz de 4 (dentro de la misma raíz )-raíz de 2m/ la raíz de 4 (dentro de la misma raíz )-raíz de 2m y después por 4 (dentro de la misma raíz )-raíz de 2m/4 (dentro de la misma raíz )-raíz de 2m.
tiene mal la respuesta del 9
Hola revise el ejercicio 9 del artículo y no encontré el error, podrías dar mas detalles por favor para poder corregirlo.
Cómo se resuelve 1/4-3/4÷4/5² todo la operación dentro de una raíz cúbica