Definición de intervalo
Se llama intervalo al conjunto de números reales comprendidos entre otros dos dados:
y
que se conocen como extremos del intervalo.
Intervalo abierto
Intervalo abierto
, es el conjunto de todos los números reales mayores que
y menores que
.

Intervalo cerrado
Intervalo cerrado
, es el conjunto de todos los números reales mayores o iguales que
y menores o iguales que
.

Intervalo semiabierto por la izquierda
Intervalo semiabierto por la izquierda
, es el conjunto de todos los números reales mayores que
y menores o iguales que
.

Intervalo semiabierto por la derecha
Intervalo semiabierto por la derecha
, es el conjunto de todos los números reales mayores o iguales que
y menores que
.

Semirrectas
x > a
Se define como el siguiente conjunto:


x ≥ a
Se define como el siguiente conjunto:


x < a
Se define como el siguiente conjunto:


x ≤ a
Se define como el siguiente conjunto:


Cuando queremos nombrar un conjunto de puntos formado por dos o más de estos intervalos, se utiliza el signo 
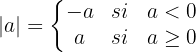
Valor absoluto de un número real
El valor absoluto de un número real se define con la siguiente función:

Algunas propiedades del valor absolto
1
2
·
3
+ 
Distancia

Entornos
se expresa también
, o bien, 

Entornos laterales
Por la izquierda


Por la derecha


Entorno reducido

Resumir con IA:









Apuntes es una plataforma dirigida al estudio y la práctica de las matemáticas a través de la teoría y ejercicios interactivos que ponemos a vuestra disposición. Esta información está disponible para todo aquel/aquella que quiera profundizar en el aprendizaje de esta ciencia. Será un placer ayudaros en caso de que tengáis dudas frente algún problema, sin embargo, no realizamos un ejercicio que nos presentéis de 0 sin que hayáis si quiera intentado resolverlo. Ánimo, todo esfuerzo tiene su recompensa.
¿Cómo puedo citar su contenido? No encuentro el autor y año de actualización de la información y utilizo mucho de su material. Agradecería su respuesta, soy maestra en una institución de educación superior en México
¡Hola! 😊 Nos alegra mucho saber que utilizas nuestro contenido. Para citarlo, puedes hacerlo mencionando Superprof como autor y el enlace del artículo. Por ejemplo:
Superprof. (s.f.). Título del artículo. Disponible en: [URL] 📚
Utilizamos “(s.f.)” cuando no aparece la fecha de publicación. ¡Esperamos que te sea útil! 🙌✨
En donde hay operaciones combinadas con numeros reales?
Hola con gusto te recomendamos, ejercicios de números reales 1 y 2, además de ejercicios interactivos del mismo tema.
hola…como racionalizo 48-6m / la raiz de 4 (dentro de la misma raiz )-raiz de 2m
Hola con gusto te ayudamos, multiplica por la raíz de 4 (dentro de la misma raíz )-raíz de 2m/ la raíz de 4 (dentro de la misma raíz )-raíz de 2m y después por 4 (dentro de la misma raíz )-raíz de 2m/4 (dentro de la misma raíz )-raíz de 2m.
tiene mal la respuesta del 9
Hola revise el ejercicio 9 del artículo y no encontré el error, podrías dar mas detalles por favor para poder corregirlo.
Cómo se resuelve 1/4-3/4÷4/5² todo la operación dentro de una raíz cúbica