Elige la opción correcta:
El conjunto de números
\{ x\in \mathbb{R}: | -3
Selecciona una respuesta.
Notemos que el conjunto nos pide los números reales entre
y
la desigualdad es estricta por lo tanto, estos no estan incluidos.
El conjunto
está formado por todos los números...
Selecciona una respuesta.
Notemos que el conjunto nos pide los números reales que se encuentran en la unión de dos intervalos, es decir los que se encuentran ya sea en el primer intervalo o en el segundo.
El primer intervalo son todos los números menor o iguales que
y el segundo son todos aquellos mayores o iguales que
.
La expresión
se reduce a...
Selecciona una respuesta.
Recordemos que si
entonces
\[ \begin{align*} x - 3 > 4 \quad &\Rightarrow \quad x > 7 \\ x - 3 < -4 \quad &\Rightarrow \quad x < -1 \end{align*} \][/latex]
La representación de
...
a
b
c
Selecciona una respuesta.
Similar al caso anterior, puesto que
entonces
es decir, son todos aquellos numero menores que
y aquellos estrictamente mayores que
.
La expresión
se representa por...
a
b
c
Selecciona una respuesta.
Recordemos que si
\[ |x| < a \quad \Rightarrow \quad -a \textless x \textless a \] [/latex] Por lo tanto si [latex] \[ |2x+ 18| \textless 2 \] [/latex] entonces [latex] \[ \begin{align*} -2 \textless 2x &+ 18 \textless 2 \\ -20 \textless 2&x \textless -16 \\ -10 \textless &x \textless -8 \end{align*} \][/latex] Es decir, son todos aquellos números que se encuentran entre [latex]-10[/latex] y [latex]-8[/latex] sin incluirlos.
La solución de la expresión
se puede escribir como...
Selecciona una respuesta.
Si
entonces
Es decir, son todos aquellos números menores estrictamente que
y los mayores que

La operacion
...
Selecciona una respuesta.
Tenemos
, quitamos los valores absolutos y realizamos la operación normalmente

La expresión
se puede expresar como ...
Selecciona una respuesta.
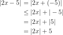
La desigualdad del triangulo nos dice que
entonces

¿Cuál de las siguientes opciones completa la expresión
.....?
Selecciona una respuesta.
Usando la desigualdad del ejercicio anterior

El valor de la operación
es.....
Selecciona una respuesta.
Recordemos que la distancia entre dos números reales
y
, que se escribe
, se define como el valor absoluto de la diferencia de ambos números:
Por lo tanto, 
Si tienes dudas puedes consultar la teoría
Resumir con IA:

Apuntes es una plataforma dirigida al estudio y la práctica de las matemáticas a través de la teoría y ejercicios interactivos que ponemos a vuestra disposición. Esta información está disponible para todo aquel/aquella que quiera profundizar en el aprendizaje de esta ciencia. Será un placer ayudaros en caso de que tengáis dudas frente algún problema, sin embargo, no realizamos un ejercicio que nos presentéis de 0 sin que hayáis si quiera intentado resolverlo. Ánimo, todo esfuerzo tiene su recompensa.
¿Cómo puedo citar su contenido? No encuentro el autor y año de actualización de la información y utilizo mucho de su material. Agradecería su respuesta, soy maestra en una institución de educación superior en México
¡Hola! 😊 Nos alegra mucho saber que utilizas nuestro contenido. Para citarlo, puedes hacerlo mencionando Superprof como autor y el enlace del artículo. Por ejemplo:
Superprof. (s.f.). Título del artículo. Disponible en: [URL] 📚
Utilizamos “(s.f.)” cuando no aparece la fecha de publicación. ¡Esperamos que te sea útil! 🙌✨
En donde hay operaciones combinadas con numeros reales?
Hola con gusto te recomendamos, ejercicios de números reales 1 y 2, además de ejercicios interactivos del mismo tema.
hola…como racionalizo 48-6m / la raiz de 4 (dentro de la misma raiz )-raiz de 2m
Hola con gusto te ayudamos, multiplica por la raíz de 4 (dentro de la misma raíz )-raíz de 2m/ la raíz de 4 (dentro de la misma raíz )-raíz de 2m y después por 4 (dentro de la misma raíz )-raíz de 2m/4 (dentro de la misma raíz )-raíz de 2m.
tiene mal la respuesta del 9
Hola revise el ejercicio 9 del artículo y no encontré el error, podrías dar mas detalles por favor para poder corregirlo.
Cómo se resuelve 1/4-3/4÷4/5² todo la operación dentro de una raíz cúbica