Números racionales
Los números racionales son aquellos que pueden representarse mediante el cociente de dos números enteros, o de manera mas precisa son aquellos que pueden representarse como el cociente de un número entero y uno natural positivo, es decir, podemos escribirlo como
con
enteros y
.
Números irracionales
Un número es irracional si posee infinitas cifras decimales no periódicas, es decir es un número que no puede ser expresado como una fracción
con
enteros y
.
Números reales
El conjunto formado por los números racionales e irracionales es el conjunto de los números reales, y es denotado
.
Hay operaciones que no es posible hacer en el conjunto de los números reales, por ejemplo,
- radicación con índice par y radicando negativo, en este caso no hay solución en el conjunto de los números reales y
- división entre cero, cuando el divisor es igual a cero el resultado esta indefinido.
Intervalos
Los intervalos están determinados por dos números que se llaman extremos. En un intervalo se encuentran todos los números comprendidos entre ambos y también pueden estar los extremos.
Existen diferentes tipos de intervalos, estos son:
1 Intervalo abierto: aquel que no incluye los extremos entre los cuales está comprendido, pero sí todos los valores ubicados entre estos, es decir,

2Intervalo cerrado: este incluye los extremos del intervalo y los valores entre ellos, se expresa

3Intervalo semiabierto: en los intervalos semiabiertos se incluye uno solo de los extremos, y el otro queda excluido. Tenemos
- Semiabierto por la izquierda

- Semiabierto por la derecha

4 Intervalo infinito o semirecta: aquel que tiene al infinito o menos infinito en uno de los extremos,
- si
,

- si
,

- si
,

- si
,

Valor absoluto
Para cualquier número real
, el valor absoluto de
se denota por
y se define de la siguiente manera

Propiedades
Si
y
son números reales
,
,
.
Podemos vincular el valor absoluto a nociones como la distancia entre dos puntos de la recta real, en este caso la distancia entre dos números reales
y
, denotada por
, sería

Entornos
Se llama entorno de centro
y radio
al intervalo abierto
y se denota por
o
, es decir,
.
En los entornos tenemos,
1 Los entornos laterales:
- por la izquierda

- por la derecha

2 Entorno reducido: Se emplea cuando se quiere saber qué pasa en las proximidades del punto, sin que interese lo que ocurre en dicho punto, es decir, es un entorno reducido si el propio punto no pertenece al mismo
Potencias
Se llama potencia a una expresión de la forma
, donde
es llamada base y
exponente.
Exponente entero
Si tenemos que el exponente es un número natural
, entonces este indica las veces que aparece la base
multiplicando por si mismo, por ejemplo

Si
entero positivo,

Exponente racional
Cuando el exponente es racional tenemos,

Propiedades
Radicales
Un radical es una expresión de la forma
, donde
y
. Ademas
es llamada radicando y
índice. Para que la operación sea valida en los reales si
es negativo,
debe ser impar.
Radicales equivalentes
Recordemos que cuando tenemos una potencia con exponente racional esta es equivalente a un radical, considerando esto y la propiedad de las fracciones que dice que si se multiplica numerador y denominador por un mismo número la fracción es equivalente, tendremos que

con
y 
Si se multiplican o dividen el índice y el exponente del radicando por un mismo número natural, se obtiene otro radical equivalente.
Simplificación de radicales
Si existe un número natural que divida al índice y al exponente del radicando, se obtiene un radical simplificado.
Reducción a índice común
1Hallamos el mínimo común múltiplo de los índices, que será el común índice
2Dividimos el común índice por cada uno de los índices y cada resultado obtenido se multiplica por sus exponentes correspondientes.
Extracción de factores fuera del signo radical
Primero se descompone el radicando en factores y si:
1 Un exponente es menor que el índice: el factor correspondiente se deja en el radicando.
2 Un exponente es igual al índice: el factor correspondiente sale fuera del radicando.
3 Un exponente es mayor que el índice: se divide dicho exponente por el índice. El cociente obtenido es el exponente del factor fuera del radicando y el resto es el exponente del factor dentro del radicando.
Introducción de factores dentro del signo radical
Para introducir factores en un radical se elevan los factores al índice del radical,

Operaciones con radicales
1 Suma de radicales: Solamente pueden sumarse (o restarse) dos radicales cuando son radicales semejantes, es decir, si son radicales con el mismo índice e igual radicando.
2Producto de radicales:
- radicales del mismo índice, para multiplicar radicales con el mismo índice se multiplican los radicandos y se deja el mismo índice

- radicales de distinto índice, primero se reducen a común índice y luego se multiplican.
3Cociente de radicales:
- radicales del mismo índice, para dividir radicales con el mismo índice se dividen los radicandos y se deja el mismo índice.

- radicales de distinto índice, primero se reducen a común índice y luego se dividen.
4Potencias de un radical: Para elevar un radical a una potencia, se eleva a dicha potencia el radicando y se deja el mismo índice,

4 Raíz de un radical: La raíz de un radical es otro radical de igual radicando y cuyo índice es el producto de los dos índices,

Racionalizar
Consiste en quitar los radicales del denominador, lo que permite facilitar el cálculo de operaciones como la suma de fracciones.
Podemos distinguir tres casos:
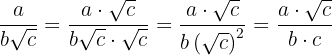
1Racionalización del tipo
;
Se multiplica el numerador y el denominador por
,
2 Racionalización del tipo 
Se multiplica numerador y denominador por
,
3Racionalización del tipo
y en general cuando el denominador sea un binomio con al menos un radical. Se multiplica el numerador y denominador por el conjugado del denominador.
Si tienes dudas puedes consultar teoría, propiedades y ejemplos de radicales.
Logaritmos
El logaritmo de un número, en una base dada, es el exponente al cual se debe elevar la base para obtener el número,

siendo
la base,
el número,
el logarítmo.
De la definición de logaritmo podemos deducir:
- No existe el logaritmo de un número con base negativa

- No existe el logaritmo de un número negativo

- No existe el logaritmo de cero

- El logaritmo de 1 es cero

- El logaritmo en base
de
es uno

- El logaritmo en base
de una potencia en base
es igual al exponente

Propiedades de los logaritmos
Propiedades
1 El logaritmo de un producto es igual a la suma de los logaritmos de los factores:

2 El logaritmo de un cociente es igual al logaritmo del dividendo menos el logaritmo del divisor:

3 El logaritmo de una potencia es igual al producto del exponente por el logaritmo de la base:

4El logaritmo de una raíz es igual al cociente entre el logaritmo del radicando y el índice de la raíz:

5 Cambio de base:

Resumir con IA:
















Apuntes es una plataforma dirigida al estudio y la práctica de las matemáticas a través de la teoría y ejercicios interactivos que ponemos a vuestra disposición. Esta información está disponible para todo aquel/aquella que quiera profundizar en el aprendizaje de esta ciencia. Será un placer ayudaros en caso de que tengáis dudas frente algún problema, sin embargo, no realizamos un ejercicio que nos presentéis de 0 sin que hayáis si quiera intentado resolverlo. Ánimo, todo esfuerzo tiene su recompensa.
Que el producto de radicales no necesariamente es un radical
Hola, así es existen casos donde el producto de radicales no es un radical, por ejemplo (√2 )(√32)=√64=8.
¿Cómo puedo citar su contenido? No encuentro el autor y año de actualización de la información y utilizo mucho de su material. Agradecería su respuesta, soy maestra en una institución de educación superior en México
¡Hola! 😊 Nos alegra mucho saber que utilizas nuestro contenido. Para citarlo, puedes hacerlo mencionando Superprof como autor y el enlace del artículo. Por ejemplo:
Superprof. (s.f.). Título del artículo. Disponible en: [URL] 📚
Utilizamos “(s.f.)” cuando no aparece la fecha de publicación. ¡Esperamos que te sea útil! 🙌✨
Nesesito mas ejercicio resueltos
de la racionalizacion
Hola, entendemos tu necesidad esperamos en un cercano futuro tener más artículos con el tema que deseas y poder ayudarte más.
En donde hay operaciones combinadas con numeros reales?
Hola con gusto te recomendamos, ejercicios de números reales 1 y 2, además de ejercicios interactivos del mismo tema.