Capítulos
Los números irracionales
Un número es irracional si posee infinitas cifras decimales no periódicas, por tanto no se pueden expresar en forma de fracción.
Los números reales
El conjunto formado por los números racionales e irracionales es el conjunto de los números reales, se designa por
.
Con los números reales podemos realizar todas las operaciones, excepto la radicación de índice par y radicando negativo y la división por cero.
Los intervalos están determinados por dos números que se llaman extremos. En un intervalo se encuentran todos los números comprendidos entre ambos y también pueden estar los extremos.
Intervalos
Intervalo abierto
No se consideran los extremos del intervalo

Intervalo cerrado
Se consideran los extremos del intervalo

Intervalo semiabierto por la izquierda
Se considera el extremo derecho y no se considera el extremo izquierdo del intervalo

Intervalo semiabierto por la derecha
Se considera el extremo izquierdo y no se considera el extremo derecho

Semirrectas
Semirrecta por la derecha
1 
No se considera el extremo izquierdo

2 
Se considera el extremo izquierdo

Semirrecta por la izquierda
1 
No se considera el extremo derecho

2 
Se considera el extremo derecho

Valor absoluto

Propiedades
1 
2 
3 
Distancia

Entornos
Se llama entorno de centro a y radio
, y se denota por
o
al intervalo abierto
.
Entornos laterales
Por la izquierda

Por la derecha

Entorno reducido

Propiedades de las potencias
1 
2 
3 
4 
5 
6 
7 
8 
Radicales
Un radical es una expresión de la forma
, en la que
y
; con tal que cuando
sea negativo,
ha de ser impar.
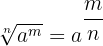
Se puede expresar un radical en forma de potencia:

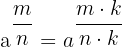
Radicales equivalentes
1
2
Simplificación de radicales
Si existe un número natural que divida al índice y al exponente (o los exponentes) del radicando, se obtiene un radical simplificado.
Reducción de radicales a índice común
1Hallamos el mínimo común múltiplo de los índices, que será el común índice.
2Dividimos el común índice por cada uno de los índices y cada resultado obtenido se multiplica por sus exponentes correspondientes.
Extracción de factores fuera del signo radical
Se descompone el radicando en factores si:
1Un exponente es menor que el índice, el factor correspondiente se deja en el radicando.
2Un exponente es igual al índice, el factor correspondiente sale fuera del radicando.
3Un exponente es mayor que el índice, se divide dicho exponente por el índice. El cociente obtenido es el exponente del factor fuera del radicando y el resto es el exponente del factor dentro del radicando.
Introducción de factores dentro del signo radical
1Se introducen los factores elevados al índice correspondiente del radical.
Operaciones con radicales
Suma de radicales
Solamente pueden sumarse (o restarse) dos radicales cuando son radicales semejantess, es decir, si son radicales con el mismo índice e igual radicando.
Producto de radicales
1 Radicales del mismo índice

2 Radicales de distinto índice
Primero se reducen a índice común y luego se multiplican.
Cociente de radicales
1 Radicales del mismo índice

2 Radicales de distinto índice
Primero se reducen a índice común y luego se dividen.
Potencia de radicales

Raíz de un radical

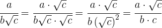
Racionalizar
Consiste en quitar los radicales del denominador, lo que permite facilitar el cálculo de operaciones como la suma de fracciones.
Podemos distinguir tres casos.
1Del tipo 
Se multiplica el numerador y el denominador por
.

2Del tipo 
Se multiplica numerador y denominador por
.

3Del tipo
, y en general cuando el denominador sea un binomio con al menos un radical.
Se multiplica el numerador y denominador por el conjugado del denominador.









Apuntes es una plataforma dirigida al estudio y la práctica de las matemáticas a través de la teoría y ejercicios interactivos que ponemos a vuestra disposición. Esta información está disponible para todo aquel/aquella que quiera profundizar en el aprendizaje de esta ciencia. Será un placer ayudaros en caso de que tengáis dudas frente algún problema, sin embargo, no realizamos un ejercicio que nos presentéis de 0 sin que hayáis si quiera intentado resolverlo. Ánimo, todo esfuerzo tiene su recompensa.
hola…como racionalizo 48-6m / la raiz de 4 (dentro de la misma raiz )-raiz de 2m
Hola con gusto te ayudamos, multiplica por la raíz de 4 (dentro de la misma raíz )-raíz de 2m/ la raíz de 4 (dentro de la misma raíz )-raíz de 2m y después por 4 (dentro de la misma raíz )-raíz de 2m/4 (dentro de la misma raíz )-raíz de 2m.
tiene mal la respuesta del 9
Hola revise el ejercicio 9 del artículo y no encontré el error, podrías dar mas detalles por favor para poder corregirlo.
No sé que es disyuntiva, comnutativa
Hola con gusto te ayudamos, con la propiedad disyuntiva significa que si tienes dos opciones y se cumpla una entonces es suficiente por ejemplo «puedes comer en tu casa o en el centro comercial» como puedes ver la propiedad disyuntiva te da opciones, en el caso de la propiedad conmutativa no importa el orden en que hagas una operación puedes sumar «5+4» o «4+5».
Hola analizamos tu observación, si te refieres a (√8+√5)+0=√8+(√5+0) la respuesta es lo que tu comentas «propiedad asociativa de la suma», si me equivoco por favor menciónalo y lo rectificamos con gusto.
El primer ejercicio por que es propiedad distributiva de la suma y no propiedad asociativa de la suma