Extracción de factores en un radical
Para extraer factores de un radical se descompone el radicando en factores. Si:
1 Un exponente del radicando es menor que el índice, el factor correspondiente se deja en el radicando.
Ejemplos:
a 
b 
2 Un exponente del radicando es igual al índice, el factor correspondiente sale fuera del radicando.
Ejemplo:
a 
Descomponemos
en factores, como el
está elevado a la misma potencia que el índice podemos extraer el
del radicando
b 
Descomponemos
en factores, como el
está elevado a la misma potencia que el índice podemos extraer el
del radicando
3 Un exponente del radicando es mayor que el índice, se divide dicho exponente por el índice. El cociente obtenido es el exponente del factor fuera del radicando y el resto es el exponente del factor dentro del radicando.
Ejemplos:
a

El exponente del
es mayor que el índice, por tanto se divide dicho exponente
entre el índice
.
El cociente obtenido
es el exponente del factor fuera del radicando y el resto
es el exponente del factor dentro del radicando
b

Descomponemos en factores 
El exponente es mayor que el índice, por tanto se divide dicho exponente
entre el índice
.
El cociente obtenido
es el exponente del factor fuera del radicando y el resto
es el exponente dentro del radicando
Como el factor
es igual a
, no es necesario colocarlo en el radicando ya que si se multiplica por otro factor este no varía
En general, si el resultado de dividir el exponente de un factor por el índice da como resto cero, no colocaremos ese factor en el radicando
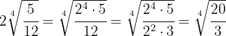
c 
Hay exponentes en el radicando mayores que el índice, por tanto se dividen dichos exponentes
por el índice
.
Cada uno de los cocientes
obtenidos será el exponente del factor correspondiente fuera del radicando y cada uno de los restos obtenidos
serán los exponentes de los factores correspondientes dentro del radicando
d 
Los exponentes el radicando son mayores que el índice, por tanto se dividen dichos exponentes
por el índice
.
Cada uno de los cocientes (1, 3 y 1) obtenidos será el exponente del factor correspondiente fuera del radicando y cada uno de los restos obtenidos (3, 2 y 0) serán los exponentes de los factores correspondientes dentro del radicando
Introducción de factores en un radical
1 Para introducir factores en un radical se elevan los factores al índice del radical.
Ejemplos:
a
Como el índice es
, el factor fuera del radical
se eleva al cuadrado y realizamos las operaciones
b
Tanto el
como el
se introducen elevados al índice 
Quitamos los paréntesis multiplicando los exponentes
Multiplicamos las potencias con la misma base
c
d
e

Resumir con IA:









Apuntes es una plataforma dirigida al estudio y la práctica de las matemáticas a través de la teoría y ejercicios interactivos que ponemos a vuestra disposición. Esta información está disponible para todo aquel/aquella que quiera profundizar en el aprendizaje de esta ciencia. Será un placer ayudaros en caso de que tengáis dudas frente algún problema, sin embargo, no realizamos un ejercicio que nos presentéis de 0 sin que hayáis si quiera intentado resolverlo. Ánimo, todo esfuerzo tiene su recompensa.
Que el producto de radicales no necesariamente es un radical
Hola, así es existen casos donde el producto de radicales no es un radical, por ejemplo (√2 )(√32)=√64=8.
¿Cómo puedo citar su contenido? No encuentro el autor y año de actualización de la información y utilizo mucho de su material. Agradecería su respuesta, soy maestra en una institución de educación superior en México
¡Hola! 😊 Nos alegra mucho saber que utilizas nuestro contenido. Para citarlo, puedes hacerlo mencionando Superprof como autor y el enlace del artículo. Por ejemplo:
Superprof. (s.f.). Título del artículo. Disponible en: [URL] 📚
Utilizamos “(s.f.)” cuando no aparece la fecha de publicación. ¡Esperamos que te sea útil! 🙌✨
Nesesito mas ejercicio resueltos
de la racionalizacion
Hola, entendemos tu necesidad esperamos en un cercano futuro tener más artículos con el tema que deseas y poder ayudarte más.
En donde hay operaciones combinadas con numeros reales?
Hola con gusto te recomendamos, ejercicios de números reales 1 y 2, además de ejercicios interactivos del mismo tema.