Capítulos
¿Cuál es la diferencia entre un casquete esférico y una zona esférica?
Para mejor entender las fórmulas del casquete esférico y de la zona esférica, tenemos que entender cuales son las diferencias de estas y cómo se identifican en geometría.
En geometría, un casquete esférico es una porción de una esfera cortada por un plano. Un casquete esferico se puede llamar tambien una cupula esferica, por la forma que tiene. Si la esfera se corta con el plano en el centro y la altura es igual al radio de la esfera, el casquete esférico se llama hemisferio.
Una zona esférica es una porción de una esfera cortada por dos planos paralelos.
Las fórmulas del área del casquete esférico y de la zona esférica son iguales. Mientras el casquete esférico se forma cortando la esfera por un plano, la zona esférica se forma cortando la esfera por dos planos paralelos.
¿Y si pensamos que el casquete esférico puede también ser una esfera cortada por dos planos paralelos pero que simplemente uno de ellos es tangente a la esfera? Pues, esta es la rázon por cual las dos fórmulas de cálculo de área son iguales.
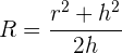
Fórmulas del area y volumen del casquete esférico




Área y volumen de la zona esférica
La zona esférica, es la zona formada por dos planos paralelos que cortan la esfera.
Propiedades de la zona esférica
Las bases de la zona esférica son las circunferencias de las secciones formadas por los dos planos paralelos.
La altitud
de la zona es la distancia perpendicular entre estos dos planos paralelos.
Si uno de los planos paralelos delimitadores es tangente a la esfera, entonces la zona esférica se llamará (con más precicison) casquete esferico y la superficie delimitada tendrá una base.
Área de la zona
El área de una zona esférica (dos bases) o de un casquete esférico (una base) es igual al producto de su altitud
y la circunferencia del gran círculo de la esfera.


Ejercicio de casquete esférico
Calcula el área y el volumen del siguiente casquete esférico.



Resumir con IA:









Apuntes es una plataforma dirigida al estudio y la práctica de las matemáticas a través de la teoría y ejercicios interactivos que ponemos a vuestra disposición. Esta información está disponible para todo aquel/aquella que quiera profundizar en el aprendizaje de esta ciencia. Será un placer ayudaros en caso de que tengáis dudas frente algún problema, sin embargo, no realizamos un ejercicio que nos presentéis de 0 sin que hayáis si quiera intentado resolverlo. Ánimo, todo esfuerzo tiene su recompensa.
Necesito aprender más cosas como el teorema de pitagoras
Hola gracias por presentarnos tus inquietudes, tenemos muchos artículos de varios temas por ejemplo del teorema de Pitágoras tenemos «https://www.superprof.es/apuntes/escolar/matematicas/geometria/basica/formulas-del-teorema-de-pitagoras.html» así como varios mas, solo pon el tema en la lupa y te saldrán una gran cantidad de artículos, si tienes mas dudas menciónalo y te ayudamos.
Buenisimo. Estoy haciendo una piñata de Dobby. Y la depreesion de los ojos esta entre un cono truncado y una piramide truncada. Para hacer moldes 3 d lo importante son los angulos que se abrre la piramide desarrollada. A partir de las deformaciones del cuadrado de la base, cuanto angulo en mas o en menos le doy en el desarrollo. (Si un angulo es mas de 90 el desarrolllo de la piramide sse abre mas en angulo? O se abre menos? Yo se que pensarlo sera diverttido para vos.
Tim y Tom están intentando ganar dinero para comprar un nuevo sistema de juegos en un período de 3 meses. Tim ahorró $45,14 cada mes. Si necesitan un total de $212,94 para comprar el sistema de juegos, ¿cuánto necesita ganar Tom cada uno de los 3 meses para comprar el sistema de juegos?
holiiissssss en el primer ejercicio me sale algo diferente pero esta literalmente igual clavulado solo que el resultado es distinto, no se si es por el numero pi o porque pero vamos que no lo pillo.
Por lo general depende de cuantos decimales tomes del número pi.
La verdad no lo entendí me hubiera gustado una mejor explicación gracias
Hola te agradecemos por tu sinceridad, podrías mencionarnos que ejercicio en especial no entendiste y con gusto intentaremos dar una mejor explicación para dar un mejor servicio.