Capítulos
Los/las mejores profesores/as de Matemáticas que están disponibles
Definición: tronco de una pirámide
Es el cuerpo geométrico que resulta al cortar una pirámide por un plano paralelo a la base y separar la parte que contiene al vértice.

Elementos de un tronco de pirámide:
1Base menor: la sección determinada por el corte.
2Cara: las caras laterales son trapecios isósceles.
3Apotema: los apotemas son las alturas de los trapecios isósceles.
4Altura: la altura es la distancia entre las bases.
Pirámide deficiente es la parte de la pirámide determinada por la base menor y el vértice.

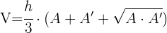
Fórmulas: área y volumen
Ahora veremos cómo calcular el volumen y el área de un tronco de pirámide. Primero denotemos algunos elementos básicos del tronco




Dado esto, ahora presentamos las fórmulas para el área lateral, área total y el volumen de un tronco de pirámide



Cálculo de área lateral y total
Calcular el área lateral y total de un tronco de pirámide de apotema igual
lado de la base mayor igual a
y lado de la base menor igual a 
lado de la base mayor igual a
y lado de la base menor igual a 
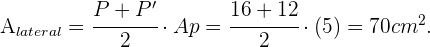
Primero debemos encontrar las áreas de las bases y los respectivos perímetros. El área de la base mayor es
y el área de la base menor es
el perímetro de la base mayor es
y el perímetro de la base menor es
Con estos valores podemos calcular las respectivas áreas.
y el área de la base menor es
el perímetro de la base mayor es
y el perímetro de la base menor es
Con estos valores podemos calcular las respectivas áreas.

Resumir con IA:









Apuntes es una plataforma dirigida al estudio y la práctica de las matemáticas a través de la teoría y ejercicios interactivos que ponemos a vuestra disposición. Esta información está disponible para todo aquel/aquella que quiera profundizar en el aprendizaje de esta ciencia. Será un placer ayudaros en caso de que tengáis dudas frente algún problema, sin embargo, no realizamos un ejercicio que nos presentéis de 0 sin que hayáis si quiera intentado resolverlo. Ánimo, todo esfuerzo tiene su recompensa.
Necesito aprender más cosas como el teorema de pitagoras
Hola gracias por presentarnos tus inquietudes, tenemos muchos artículos de varios temas por ejemplo del teorema de Pitágoras tenemos «https://www.superprof.es/apuntes/escolar/matematicas/geometria/basica/formulas-del-teorema-de-pitagoras.html» así como varios mas, solo pon el tema en la lupa y te saldrán una gran cantidad de artículos, si tienes mas dudas menciónalo y te ayudamos.
Buenisimo. Estoy haciendo una piñata de Dobby. Y la depreesion de los ojos esta entre un cono truncado y una piramide truncada. Para hacer moldes 3 d lo importante son los angulos que se abrre la piramide desarrollada. A partir de las deformaciones del cuadrado de la base, cuanto angulo en mas o en menos le doy en el desarrollo. (Si un angulo es mas de 90 el desarrolllo de la piramide sse abre mas en angulo? O se abre menos? Yo se que pensarlo sera diverttido para vos.
Tim y Tom están intentando ganar dinero para comprar un nuevo sistema de juegos en un período de 3 meses. Tim ahorró $45,14 cada mes. Si necesitan un total de $212,94 para comprar el sistema de juegos, ¿cuánto necesita ganar Tom cada uno de los 3 meses para comprar el sistema de juegos?
holiiissssss en el primer ejercicio me sale algo diferente pero esta literalmente igual clavulado solo que el resultado es distinto, no se si es por el numero pi o porque pero vamos que no lo pillo.
Por lo general depende de cuantos decimales tomes del número pi.
La verdad no lo entendí me hubiera gustado una mejor explicación gracias
Hola te agradecemos por tu sinceridad, podrías mencionarnos que ejercicio en especial no entendiste y con gusto intentaremos dar una mejor explicación para dar un mejor servicio.