1Completa los huecos de la siguiente tabla:
| C | V | A | C+V−A | |
|---|---|---|---|---|
| Hexaedro | 6 | 12 | 2 | |
| Tetraedro | 4 | 4 | 2 | |
| Octaedro | 8 | 12 | 2 | |
| Dodecaedro | 12 | 30 | 2 | |
| Icosaedro | 20 | 12 | 30 |
| C | V | A | C+V−A | |
|---|---|---|---|---|
| Hexaedro | 6 | 8 | 12 | 2 |
| Tetraedro | 4 | 4 | 6 | 2 |
| Octaedro | 8 | 6 | 12 | 2 |
| Dodecaedro | 12 | 20 | 30 | 2 |
| Icosaedro | 20 | 12 | 30 | 2 |
2¿Cuántos aristas tiene un poliedro con 12 caras y 20 vértices?
Número de aristas =
1Aplicamos la fórmula de Euler 
2Sustituimos los datos conocidos

3Despejando obtenemos que el número de aristas es 
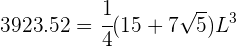
3Calcula la medida de la arista de un dodecaedro de volumen 

1Sustituimos los datos conocidos en la fórmula de volumen del dodecaedro 

2Despejamos 

3Sacamos raíz cúbica en ambos lados y obtenemos la medida de la arista 
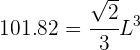
4Calcula el área de un octaedro de volumen 

1Sustituimos los datos conocidos en la fórmula de volumen del octaedro 

2Calculamos la arista 

3Sacamos raíz cúbica en ambos lados y obtenemos la medida de la arista 
4Sustituimos en la fórmula del área y obtenemos 
5Calcula la arista del cubo de diagonal 
Arista = 
1Sustituimos los datos conocidos en la fórmula de la diagonal del cubo
, donde
representa la arista

2Despejamos y obtenemos 
6Encuentra el valor de la suma de las diagonales de un cubo de arista 
Suma de diagonales = 
1Sustituimos los datos conocidos en la fórmula de la diagonal del cubo
, donde
representa la arista

2El cubo tiene 4 diagonales, por lo que la suma de las diagonales es 
Si tienes dudas puedes consultar la teoría
Resumir con IA:

Apuntes es una plataforma dirigida al estudio y la práctica de las matemáticas a través de la teoría y ejercicios interactivos que ponemos a vuestra disposición. Esta información está disponible para todo aquel/aquella que quiera profundizar en el aprendizaje de esta ciencia. Será un placer ayudaros en caso de que tengáis dudas frente algún problema, sin embargo, no realizamos un ejercicio que nos presentéis de 0 sin que hayáis si quiera intentado resolverlo. Ánimo, todo esfuerzo tiene su recompensa.
Necesito aprender más cosas como el teorema de pitagoras
Hola gracias por presentarnos tus inquietudes, tenemos muchos artículos de varios temas por ejemplo del teorema de Pitágoras tenemos «https://www.superprof.es/apuntes/escolar/matematicas/geometria/basica/formulas-del-teorema-de-pitagoras.html» así como varios mas, solo pon el tema en la lupa y te saldrán una gran cantidad de artículos, si tienes mas dudas menciónalo y te ayudamos.
Buenisimo. Estoy haciendo una piñata de Dobby. Y la depreesion de los ojos esta entre un cono truncado y una piramide truncada. Para hacer moldes 3 d lo importante son los angulos que se abrre la piramide desarrollada. A partir de las deformaciones del cuadrado de la base, cuanto angulo en mas o en menos le doy en el desarrollo. (Si un angulo es mas de 90 el desarrolllo de la piramide sse abre mas en angulo? O se abre menos? Yo se que pensarlo sera diverttido para vos.
Tim y Tom están intentando ganar dinero para comprar un nuevo sistema de juegos en un período de 3 meses. Tim ahorró $45,14 cada mes. Si necesitan un total de $212,94 para comprar el sistema de juegos, ¿cuánto necesita ganar Tom cada uno de los 3 meses para comprar el sistema de juegos?
holiiissssss en el primer ejercicio me sale algo diferente pero esta literalmente igual clavulado solo que el resultado es distinto, no se si es por el numero pi o porque pero vamos que no lo pillo.
Por lo general depende de cuantos decimales tomes del número pi.
La verdad no lo entendí me hubiera gustado una mejor explicación gracias
Hola te agradecemos por tu sinceridad, podrías mencionarnos que ejercicio en especial no entendiste y con gusto intentaremos dar una mejor explicación para dar un mejor servicio.